ベルトの長さはデータム システムまたは有効システムで決定します。このため、各プーリでまずデータム径または有効径を決定します。ベルトの軌道は個々のプーリ位置に基づきます。プーリのスライド位置を調整し、標準ベルト長さ条件に合致するようにします。計算は解法を繰り返すことで行われ、プーリの望ましい(または現在の)スライド位置に最も近い、プーリの適切なスライド位置を求めます。
プーリ直径
|
| 溝付きプーリ |
D e = D w + 2 h w | |
D p = D w + 2 a | |
D d = D w | |
|
| 平プーリ右回り |
D e = D + 2 h | |
D p = D + 2 (h - h w + a) | |
D d = D + 2(h - h w) | |
|
| 平プーリ左回り |
D e = D | |
D p = D + 2 (h w - a) | |
D d = D + 2 h w |
2 つのプーリでの動力伝達の例
この例ではデータム システムを使用します。
![]()
接触弧
![]()
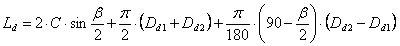
データム ベルトの長さ
![]()
中心距離
![]()
次の式は新しい駆動の中心距離を求めるのにお勧めできます。
0.7 (D d1 + D d2) ≤ C ≤ 2(D d1 + D d2)
使用される変数の意味:
D W | 呼び径(データムまたは有効) [m] |
D e | 有効(外側)プーリ直径[m] |
h w | 呼び高さ(有効システムの場合、h w = 0) [m] |
a | ピッチ線オフセット(有効システムの場合、負数) [m] |
D | 平プーリの呼び径および外径[m] |
h | ベルト高さ[m] |
D d | プーリ データム径[m] |
C | 中心距離[m] |
| β | 接触弧[度] |
L d | データム ベルトの長さ[m] |