メートル単位のクレビス ピン ジョイントの計算

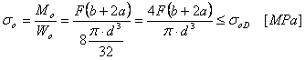
曲げ応力

棒圧力

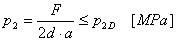
クレビス圧力

せん断応力

ここで
| | F | 力[N] |
| | σ 0 | 曲げ応力[MPa] |
| | σ 0D | 許容曲げ応力 [MPa] |
| | M 0 | 曲げモーメント[N mm] |
| | W 0 | 曲げ断面係数[mm 3] |
| | τ | せん断応力[MPa] |
| | τ D | 許容せん断応力[MPa] |
| | d | ピン径[mm] |
| | p 1 | 棒圧力[MPa] |
| | p 2 | クレビス圧力[MPa] |
| | p 1D | 許容棒圧力[MPa] |
| | p 2D | 許容クレビス圧力[MPa] |
| | b | 棒幅[mm] |
| | a | クレビス アーム幅[mm] |