これらの計算式は、複数の支持と荷重があるシャフト(1 つ以上の断面がある)または梁(1 つの一定部分がある)のいずれかを解決するために使用します。
シャフト軸や梁の軸は、Z 軸に位置合わせされます。材料密度の影響が計算に含まれている場合、重力ベクトルは Y 軸と位置合わせされます。
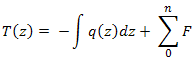
せん断力:
![]()
曲げモーメント:
![]()
[たわみ角度]
![]()
ここで
E | 引張状態における弾性係数 | |
J | 慣性モーメント | |
G | 横弾性係数 | |
| β | せん断変位率 |
たわみ:
![]()
曲げ応力:
![]()
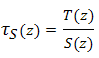
せん断応力:
![]()
ねじり応力:
![]()
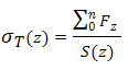
引張応力:
![]()
減少応力:
![]()
ここで
| σ B | 曲げ応力 | |
| σ T | 引張応力 | |
| τ | ねじり応力 | |
| τ S | せん断応力 | |
| α | α = 3 (HMH の場合) | |
| α = 4 (Tresca-Guest の場合) |
計算例
![]()
引張弾性係数 E = 210 000 MPa
横弾性係数 G = 81 000 MPa
せん断変位率 β = 1.118
減少応力のモード: HMH
材料密度を含めないでください。
支持力:
![]()
![]()
最大せん断応力:
![]()
最大ねじり応力:
![]()
最大モーメント:
![]()
最大曲げ応力:
![]()
最大減少応力:
![]()
ねじり角:
![]()
![]()