入力パラメータ
入力応力: F
外径: D
内径: D 0 (ディスク ブレーキと円錐ブレーキの場合のみ)
幅: b
円錐角度: β (円錐ブレーキの場合のみ)
ブレーキ数(ブレーキ面): N
開始速度: n 0
終了速度: n 1
開始速度: E については、「エネルギー計算」の章を参照
計算パラメータ
摩擦力
バンド ブレーキの場合:
F t = F (e fα - 1) |
その他
F t = F n f |
ここで
| α | [角度当りの長さ] | |
| f | 摩擦係数 | |
| F n | 垂直力 | |
| ディスク ブレーキの場合: | ||
F n = F / sin (β) | ||
| その他: | ||
F n = F | ||
ブレーキ トルクの計算
T = 0.5 D e F t
ここで
D e | 同等の径 | |
コーンおよびディスク ブレーキ用 | ||
| | ||
その他 D e = D |
圧力計算
![]()
ここで
A = N b L | ブレーキ表面 | |||
b | 幅 | |||
L = 0.5 D s α | 長さ | |||
| α | 角度 | |||
D s | 平均直径。コーンおよびディスク ブレーキ D s = 0.5 (D + D 0) | |||
その他 D s = D | ||||
ブレーキのウォーミングアップの簡単なチェック
p ≤ p (M ax. )
p v ≤ p v (M ax. )
ここで
v = π D n 0 / 60 | 開始円周速度 | |
ブレーキ時間の計算
![]()
ここで
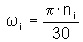
| | 減少した慣性モーメント | |
| | 速度/回転[rad/s] |
停止までの回転数
![]()
出力荷重 F0
バンド ブレーキのみ:
F 0 = F + F t = F e fα