キー ジョイントのメートル単位での計算式

伝達トルク

ここで

 

P

伝動力[kW]

 

n

速度 [rpm]

最小軸径の計算

1. 軸内径 d h > 0

a)

b) d min ≤d h -> d min = 1.1 d h [mm]の場合

c) d min ≤ 1.5 d h -> d min = 1.5 d h [mm]の場合

2. 軸内径 d h = 0

ここで

 

d min

軸の最小直径[mm]

 

d h

軸の内径[mm]

 

T

トルク[Nm]

 

K a

適用係数

 

K f

疲れ寿命係数

 

S v

必要な安全性

 

τ A

許容せん断応力

一般的な計算

 

軸への力の作用の範囲

h k = h - h s - 2 s [mm]

ハブへの力の作用の範囲

 

力の作用の範囲の軸径

 

力の作用の範囲のハブ直径

 

軸への力

 

ハブへの力

ここで

 
 

T

トルク[Nm]

 

F s

軸への力[N]

 

F h

ハブへの力[N]

 

K a

適用係数

 

K f

摩耗寿命係数

 

K w

適用係数

 

K m

荷重分布係数

 

S v

必要な安全性

 

d

軸径[mm]

 

d s

力 F s が作用する軸径[mm]

 

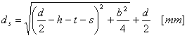
d h

力 F d が作用する軸径[mm]

 

N

溝の数[-]

 

h

溝の高さ

 

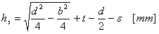
h s

軸への力の作用点の高さ[mm]

 

h h

ハブへの力の作用点の高さ[mm]

 

b

溝の幅

 

t

軸における溝の深さ[mm]

 

s

面取り

 

p Dmins

最小許容圧力(溝、軸) [MPa]

 

p Dminh

最小許容圧力(溝、ハブ) [MPa]

トルク伝達の最小キー長さ

1.固定接続

a)

 

b)

 

L min = min(L mins , L minh )

2.フレキシブルな接続

a)

 

b)

 

L min = min(L mins , L minh )

ここで

 
 

F s

軸への力[N]

 

F h

ハブへの力[N]

 

K a

適用係数

 

K f

摩耗寿命係数

 

K w

適用係数

 

K m

荷重分布係数

 

S v

必要な安全性

 

d

軸径[mm]

 

N

溝の数[-]

 

h s

軸への力の作用点の高さ[mm]

 

h h

ハブへの力の作用点の高さ[mm]

 

p Dmins

最小許容圧力(溝、軸) [MPa]

 

p Dminh

最小許容圧力(溝、ハブ) [MPa]

最小許容圧力

1.固定接続

a)

 

b)

2.フレキシブルな接続

a)

 

b)

ここで

 
 

F s

軸への力[N]

 

F h

ハブへの力[N]

 

K a

適用係数

 

K f

摩耗寿命係数

 

K w

適用係数

 

K m

荷重分布係数

 

S v

必要な安全性

 

d

溝の断面の内径 [mm]

 

N

溝の数[-]

 

h s

軸への力の作用点の高さ[mm]

 

h h

ハブへの力の作用点の高さ[mm]

 

l f

有効なキーの長さ[mm]

強度チェック

p mins ≤ p Ds

p minh ≤ p Dh

ここで

 

p mins

軸における計算された最小せん断圧力[MPa]

 

p minh

ハブにおける計算された最小せん断圧力[MPa]

 

p Ds

軸における許容圧力[MPa]

 

p Dh

ハブにおける許容圧力[MPa]

簡易計算

トルク伝達の最小キー長さ

1.固定接続

 

2.フレキシブルな接続

 

ここで

 
 

T

トルク[Nm]

 

K a

適用係数

 

K f

摩耗寿命係数

 

K w

適用係数

 

K m

荷重分布係数

 

S v

必要な安全性

 

d

軸径[mm]

 

N

溝の数[-]

 

h

溝の高さ

 

s

面取り

 

h st

接続高さ h st = h - 2 s [mm]

 

p Dmin

軸、溝、またはハブのサーフェスを支える許容圧力[MPa]

許容圧力

1.固定接続

 

2.フレキシブルな接続

 

ここで

 
 

T

トルク[Nm]

 

K a

適用係数

 

K f

摩耗寿命係数

 

K w

適用係数

 

K m

荷重分布係数

 

S v

必要な安全性

 

d

軸径[mm]

 

N

溝の数[-]

 

h

溝の高さ

 

s

面取り

 

h st

接続高さ h st = h - 2 s [mm]

 

l f

有効なキーの長さ[mm]

強度チェック

p min ≤ p Ds

p min ≤ p Dh

ここで

 

p min

計算された最小 h/2 圧力[MPa]

 

p Ds

軸における許容圧力[MPa]

 

p Dh

ハブにおける許容圧力[MPa]