英国計算の分割ハブの式

接触圧力

ハブの長さの最小値

推奨値: L = (0.6 - 3) d
1 本のボルトの載荷力

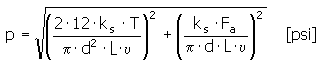
[強度チェック]
p ≤ p A
ここで
| | F a | スラスト荷重[lb] |
| | T | トルク[lb ft] |
| | d | 軸径[インチ] |
| | p | ジョイントにおける接触圧力[psi] |
| | p A | 許容圧力[psi] |
| | L | ハブの長さ[インチ] |
| | υ | 締付け係数 υ = 0.008~0.1 [-] |
| | k s | すべり安全率[-] |
| | F | 1 本のボルトの載荷力[lb] |
| | F s | すべてのボルトの載荷力[lb] |
| | i | ボルトの合計数[-] |