Cracking Calculation for the Italian Code DM/14/1/2008

Cracking calculation for Italian code MINISTERO DEI LAVORI PUBBLICI DECRETO 14 GENNAIO 2008:

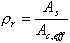
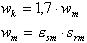
The detailed requirements according to point B.6.6.3 are as follows: