設計への配線の追加は省略可能です。配線なしでも回路は作成できます。Revit では、回路に関連付けられているインテリジェンスが維持されます。
次のいずれかの方法で固定配線を追加できます。
[配線に変換]パネル上のツールを使用して、回路に固定配線を追加します。固定配線が作成された後、回路が選択されていなくても配線はビューに表示されたままになります。
[電気]パネルにある配線を追加するツールを使用して、固定配線を手動で追加することもできます。
回路のプロパティを使用して、回路内で使用するケーブルのタイプを指定します。「回路プロパティ」を参照してください。
回路を固定配線に変換する
回路の配線のタイプを選択する
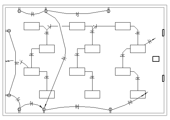
通常は、円弧配線は、壁、天井、または床の隠ぺい配線を表すために使用されます。
通常は、面取り配線は、露出配線を表すために使用されます。
次の例で、円弧配線はコンセントを接続し、面取り配線は照明器具を接続します。幹線が自動的に追加され、パネルへの接続を示します。
