スプラインをスケッチするときには、最も簡単な線分(または線分の組み合わせ)を使用して目的の結果を取得します。
たとえば、次の図のような線分を作成するとします。

円弧と線分の組み合わせによってこの線分を作成したり、スプラインを使用することもできます。スプラインを使用して線分をスケッチすると処理に時間を要するため、可能な限り、スプラインの代わりに円弧と線分の組み合わせを使用することをお勧めします。
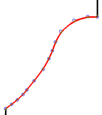
スプラインを使用して線分を作成することが必要な場合は、処理時間を最小化できるように、使用する制御点をできるだけ少なくしてください。次の図は、多くの制御点(青いドット)でスケッチされたスプラインを選択した例です。

次に示すように、使用する制御点を少なくして、同じスプラインを作成できます。
