영국식 단위로 클레비스 핀 접합 계산

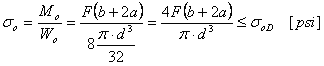
굽힘 응력

로드의 압력

클레비스의 압력

전단 응력
전단 응력

설명:
| | F | 힘 [lb] |
| | σ 0 | 굽힘 응력[psia] |
| | σ 0D | 허용 굽힘 응력 [psi] |
| | M 0 | 굽힘 모멘트[lb ft] |
| | W 0 | 굽힘 단면 계수[in3] |
| | τ | 전단 응력 [psi] |
| | τ D | 허용 전단 응력 [psi] |
| | d | 핀 지름 [in] |
| | p 1 | 로드의 압력[psia] |
| | p 2 | 클레비스의 압력 [psi] |
| | p 1D | 로드의 허용 압력 [psi] |
| | p 2D | 클레비스의 허용 압력 [psi] |
| | b | 로드 폭 [in] |
| | a | 클레비스 암 폭[in] |