이러한 공식은 여러 지지점 및 하중을 사용하여 하나 이상의 단면이 있는 샤프트 또는 하나의 일정 단면이 있는 빔을 해석하는 데 사용됩니다.
샤프트/빔 축은 Z축에 정렬됩니다. 계산에 재질 밀도의 영향이 포함되면 중력 벡터가 Y축에 정렬됩니다.
전단력:
![]()
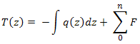
굽힘 모멘트:
![]()
처짐 각도:
![]()
설명:
E | 인장 시 탄성 계수 | |
J | 관성 모멘트 | |
G | 강성 계수 | |
| β | 전단 변위 비율 |
처짐:
![]()
굽힘 응력:
![]()
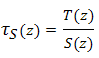
전단 응력:
![]()
비틀림 응력:
![]()
인장 응력:
![]()
감소 응력:
![]()
설명:
| σ B | 굽힘 응력 | |
| σ T | 인장 응력 | |
| τ | 비틀림 응력 | |
| τ S | 전단 응력 | |
| α | HMH의 경우 α = 3 | |
| 트레스카-게스트의 경우 α = 4 |
샘플 계산
![]()
탄성 계수 E = 210 000 MPa
강성 계수 G = 81 000 MPa
전단 변위 비율 β = 1.118
감소 응력 모드: HMH
재질 밀도가 포함되지 않습니다.
지지력:
![]()
![]()
최대 전단 응력:
![]()
최대 비틀림 응력:
![]()
최대 모멘트:
![]()
최대 굽힘 응력:
![]()
최대 감소 응력:
![]()
비틀림 각도:
![]()
![]()