나선형 스플라인 계산 공식(미터법 단위)

전달된 토크

설명:

 

P

전달된 동력 [Kw]

 

n

속도[min -1 ]

그루브 지지 표면의 압력

1. 샤프트 내부 지름 d h > 0

a)

b) d min ≤d h -> d min = 1.1 d h[mm]인 경우

c) d min ≤ 1.5 d h -> d min = 1.5 d h[mm]인 경우

2. 샤프트 내부 지름 d h = 0

설명:

 

d min

최소 샤프트 지름 [mm]

 

d h

샤프트 내부 지름 [mm]

 

T

토크 [Nm]

 

K a

적용 계수

 

K f

피로 수명 계수

 

S v

원하는 안전율

 

τ Al

허용 전단 응력

토크를 전달할 최소 스플라인 길이

1. 고정 연결:

 

2. 유동 연결:

 

설명:

 
 

T

토크 [Nm]

 

K a

적용 계수

 

K f

마모 수명 계수

 

K w

적용 계수

 

K m

하중 분배 계수

 

S v

원하는 안전율

 

d s

중간 지름 = (D + d) / 2 [mm]

 

D

그루브 단면의 외부 지름 [mm]

 

d

그루브 단면의 내부 지름 [mm]

 

N

그루브 수 [-]

 

h

그루브 높이 = (D - d) / 2 [mm]

 

s

모따기 [mm]

 

h st

연결 높이 h st = h - 2 s[mm]

 

p Dmin

샤프트 또는 그루브 지지 표면의 허용 압력 [MPa]

허용 압력

1. 고정 연결:

 

2. 유동 연결:

 

설명:

 
 

T

토크 [Nm]

 

K a

적용 계수

 

K f

마모 수명 계수

 

K w

적용 계수

 

K m

하중 분배 계수

 

S v

원하는 안전율

 

d s

중간 지름 = (D + d) / 2 [mm]

 

D

그루브 단면의 외부 지름 [mm]

 

d

그루브 단면의 내부 지름 [mm]

 

N

그루브 수 [-]

 

h

그루브 높이 = (D - d) / 2 [mm]

 

s

모따기 [mm]

 

h st

연결 높이 h st = h - 2 s[mm]

 

l f

활성 키 길이 [mm]

강도 검사

p min ≤ p ds

p min ≤ p dh

설명:

 

p min

계산된 최소 h/2 압력 [MPa]

 

p ds

샤프트의 허용 압력 [MPa]

 

p dh

허브의 허용 압력 [MPa]

CSN 01 4950에 따른 미터법 단위 계산

굽힘 응력

설명:

s sf

샤프트 활줄 톱니 이뿌리 높이 두께

s sf = 2.17m

 

h

샤프트 톱니 높이

h = 1.1m - 0.05

톱니면으로 중심 잡기, 플랫 그루브 밑면

  

h = 1.28m - 0.05

톱니면으로 중심 잡기, 둥근 그루브 밑면

  

h = 1.2 m

외부 중심 잡기

그루브 지지 표면의 압력

설명:

 

h n

내하중 스플라인 높이

h n = 0.9m - 0.05

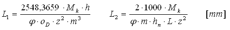
최소 스플라인 길이

L min = max {L 1 , L 2 }[mm]

설명:

권장값: L = (0.8 - 1.6) D

스플라인 검사

p ≤ p d 및 σ≤σ d

설명:

 

P

전달된 동력 [kW]

 

n

속도[min -1 ]

 

z

톱니 수 [-]

 

p D

톱니 접촉 표면의 허용 압력 [MPa]

 

σ D

허용 굽힘 응력 [MPa]

 

L

활성 스플라인 길이 [mm]

 

D

공칭 스플라인 지름 [mm]

   φ

톱니면 접촉 계수