키 접합 계산 공식(미터법 단위)

전달된 토크

설명:

 

P

동력 [kW]

 

n

속도 [rpm]

최소 샤프트 지름 계산

1. 샤프트 내부 지름 d h > 0

a)

b) d min ≤d h -> d min = 1.1 d h[mm]인 경우

c) d min ≤ 1.5 d h -> d min = 1.5 d h[mm]인 경우

2. 샤프트 내부 지름 d h = 0

설명:

 

d min

최소 샤프트 지름 [mm]

 

d h

샤프트 내부 지름 [mm]

 

T

토크 [Nm]

 

K a

적용 계수

 

K f

피로 수명 계수

 

S v

원하는 안전율

 

τ A

허용 전단 응력

일반 계산

 

샤프트에 작용하는 힘의 범위

h k = h - h s - 2 s[mm]

허브에 작용하는 힘의 범위

 

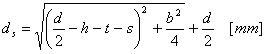
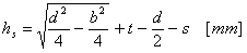
힘 작용 범위의 샤프트 지름

 

힘 작용 범위의 허브 지름

 

샤프트에 작용하는 힘

 

허브에 작용하는 힘

설명:

 
 

T

토크 [Nm]

 

F s

샤프트에 작용하는 힘 [N]

 

F h

허브에 작용하는 힘 [N]

 

K a

적용 계수

 

K f

마모 수명 계수

 

K w

적용 계수

 

K m

하중 분배 계수

 

S v

원하는 안전율

 

d

샤프트 지름 [mm]

 

d s

힘 F s 가 발생하는 샤프트 지름[mm]

 

d h

힘 F d 가 발생하는 샤프트 지름[mm]

 

N

그루브 수 [-]

 

h

그루브 높이

 

h s

샤프트에 힘이 작용하는 지점의 높이 [mm]

 

h h

허브에 힘이 작용하는 지점의 높이 [mm]

 

b

그루브 폭

 

t

샤프트의 그루브 깊이 [mm]

 

s

모따기

 

p Dmins

최소 허용 압력(그루브, 샤프트) [MPa]

 

p Dminh

최소 허용 압력(그루브, 허브) [MPa]

토크를 전달할 최소 키 길이

1. 고정 연결:

a)

 

b)

 

L min = min(L mins , L minh )

2. 유동 연결:

a)

 

b)

 

L min = min(L mins , L minh )

설명:

 
 

F s

샤프트에 작용하는 힘 [N]

 

F h

허브에 작용하는 힘 [N]

 

K a

적용 계수

 

K f

마모 수명 계수

 

K w

적용 계수

 

K m

하중 분배 계수

 

S v

원하는 안전율

 

d

샤프트 지름 [mm]

 

N

그루브 수 [-]

 

h s

샤프트에 힘이 작용하는 지점의 높이 [mm]

 

h h

허브에 힘이 작용하는 지점의 높이 [mm]

 

p Dmins

최소 허용 압력(그루브, 샤프트) [MPa]

 

p Dminh

최소 허용 압력(그루브, 허브) [MPa]

최소 허용 압력

1. 고정 연결:

a)

 

b)

2. 유동 연결:

a)

 

b)

설명:

 
 

F s

샤프트에 작용하는 힘 [N]

 

F h

허브에 작용하는 힘 [N]

 

K a

적용 계수

 

K f

마모 수명 계수

 

K w

적용 계수

 

K m

하중 분배 계수

 

S v

원하는 안전율

 

d

그루브 단면의 내부 지름 [mm]

 

N

그루브 수 [-]

 

h s

샤프트에 힘이 작용하는 지점의 높이 [mm]

 

h h

허브에 힘이 작용하는 지점의 높이 [mm]

 

l f

활성 키 길이 [mm]

강도 검사

p mins ≤ p Ds

p minh ≤ p Dh

설명:

 

p mins

샤프트의 계산된 최소 전단 압력 [MPa]

 

p minh

허브의 계산된 최소 전단 압력 [MPa]

 

p Ds

샤프트의 허용 압력 [MPa]

 

p Dh

허브의 허용 압력 [MPa]

단순 계산

토크를 전달할 최소 키 길이

1. 고정 연결:

 

2. 유동 연결:

 

설명:

 
 

T

토크 [Nm]

 

K a

적용 계수

 

K f

마모 수명 계수

 

K w

적용 계수

 

K m

하중 분배 계수

 

S v

원하는 안전율

 

d

샤프트 지름 [mm]

 

N

그루브 수 [-]

 

h

그루브 높이

 

s

모따기

 

h st

연결 높이 h st = h - 2 s[mm]

 

p Dmin

샤프트, 그루브 또는 허브의 지지 표면 허용 압력 [MPa]

허용 압력

1. 고정 연결:

 

2. 유동 연결:

 

설명:

 
 

T

토크 [Nm]

 

K a

적용 계수

 

K f

마모 수명 계수

 

K w

적용 계수

 

K m

하중 분배 계수

 

S v

원하는 안전율

 

d

샤프트 지름 [mm]

 

N

그루브 수 [-]

 

h

그루브 높이

 

s

모따기

 

h st

연결 높이 h st = h - 2 s[mm]

 

l f

활성 키 길이 [mm]

강도 검사

p min ≤ p Ds

p min ≤ p Dh

설명:

 

p min

계산된 최소 h/2 압력 [MPa]

 

p Ds

샤프트의 허용 압력 [MPa]

 

p Dh

허브의 허용 압력 [MPa]