분리된 허브 공식(영국식 단위 계산)

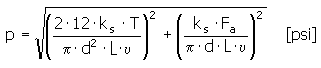
접촉 압력

최소 허브 길이

권장값: L = (0.6 - 3) d

한 볼트에서 담당하는 힘

강도 검사

p ≤ p A

설명:

 

F a

축 방향력 [lb]

 

T

토크 [lb ft]

 

d

샤프트 지름 [in]

 

p

접합의 접촉 압력 [psi]

 

p A

허용 압력 [psi]

 

L

허브 길이 [in]

   υ

고정 계수 υ = 0.008 - 0.1 [-]

 

k s

슬립 안전 [-]

 

F

한 볼트에서 담당하는 힘 [lb]

 

F s

모든 볼트에서 담당하는 힘 [lb]

 

i

총 볼트 수 [-]