과도 이산

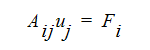
과도 해석에서 과도 항은 암시적 또는 후방 차분 방법을 사용하여 이산됩니다. 행렬 대수 표기법을 사용하여 일반적인 안정 상태 수송 방정식(모멘텀, 에너지, 난류 변수, 스칼라)을 다음과 같이 작성할 수 있습니다.

여기서 A*ij*에 지배 방정식의 이산 대류항과 확산 항이 포함되며, *uj*는 종속 변수(u, v, w, T, K,....)의 값이거나 솔루션 벡터입니다. 그리고 *Fi***에 소스 항이 포함되어 있습니다.

지배 방정식의 과도 항은 다음과 같은 형식을 사용합니다.

여기서 은 종속 변수(u, v, w,....)입니다. 이 항은 후방 차분을 사용하여 이산됩니다.

이 항을 위의 행렬 방정식에 추가할 수 있습니다.

여기서 B*ii***는 다음과 같이 여러 항으로 구성된 사선 행렬입니다.

모든 새 변수(최근 변수 값)를 결정하려면 이 이산화된 과도 방정식을 각 시간 단계에서 반복적으로 해석해야 합니다.