해석 특성
참조
Davis, G. De Vahl 및 Jones, I.P., “Natural convection in a square cavity: a comparison exercise”, Inter. Jour. for Num. Meth. in Fluids, 3, (1983).
문제 설명
온도 및 속도 분포는 사각형 중공의 층류, 부력 구동에 대해 계산됩니다. 맨 위 및 맨 아래 벽이 단열되고, 왼쪽 및 오른쪽 벽의 고정 온도 차이가 1K입니다.
이 레일리 수는 다음과 같이 계산됩니다.

는 체적 팽창 계수로, 다음과 같이 정의됩니다. 
g는 중력 가속도입니다.
: 밀도
는 비열입니다.
L은 중공 길이입니다.
및
는 각각 왼쪽과 오른쪽 벽의 온도입니다.
k는 유체 전도율입니다.
는 점도입니다.
여기서 레일리 수는 10,000입니다.
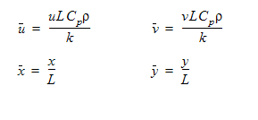
이 문제를 분석하여 Autodesk® CFD의 유체 흐름 및 열 전달 모델링 기능을 확인합니다. 정확도는 중공에서 특정 위치에 있는 속도 구성요소를 비교하여 평가합니다. 속도 및 좌표는 Davies, et al. (1983)에 따라 다음과 같이 정규화됩니다.

형상 및 경계 조건

결과
,
,
및
에 대해 위에 정의된 표현식을 사용하면 다음 결과가 계산됩니다.
| 벤치마크 | 2018: 빌드 20170308 | 오류 비율 | 2019: 빌드 20180130 | 오류 비율 | |
![]() | 16.178 | 16.191 | 0.079 | 16.185 | 0.04399 |
![]() | 0.823 | .825 | .243 | .825 | .243 |
![]() | 19.617 | 19.666 | .251 | 19.651 | .175 |
![]() | 0.119 | .120 | .840 | .120 | .840 |