Autodesk® CFD에서는 Navier-Stokes(N-S) 방정식의 수치 솔루션을 제공합니다. N-S 방정식은 유체를 연속체로 처리할 수 있다고 가정합니다. 일부 진공 흐름 또는 매우 낮은 압력 흐름에서 흐름은 더 이상 연속체가 아니며 개별 유체 분자를 고려해야 합니다. 이러한 가정은 흐름 경로의 특성 차원이 유체 평균 자유 경로의 10배보다 낮게 떨어지므로 부정확해집니다.
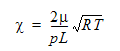
우리는 다음과 같이 정의되는 무차원 값인
를 사용하여 평균 자유 경로를 특성화할 수 있습니다.

다음과 같은 기호가 정의되어 있습니다.
| 기호 | 설명 |
![]() | 무차원 진공 번호 |
![]() | STP에서의 절대 점도 |
| p | 정적 압력 |
| L | 특성 길이(유압 지름) |
| R | 가스 상수 |
| T | 온도 |
아래 테이블에는 Navier-Stokes 방정식을 흐름에 적용할 수 있는
범위가 나와 있습니다.
범위 | 흐름 설명 |
< 0.014 | 흐름은 연속체로, Navier-Stokes 방정식에 의해 지배됩니다. |
0.014 < <1.0 | 흐름은 표면을 따라 미끄러지는 슬립 흐름이지만 여전히 Navier-Stokes 방정식을 사용하여 근사치를 구할 수 있습니다. |
>1.0 | 흐름은 더 이상 연속체가 아니며 Navier-Stokes 방정식으로 나타낼 수 없습니다. |