W inżynierii lądowej i wodnej stosowane są różne typy krzywych przejściowych do stopniowego wprowadzania krzywizn i przechyłek między stycznymi i łukami kołowymi, a także między dwoma łukami kołowymi o różnej krzywiźnie.
W relacji do innych stycznych i łuków każda krzywa przejściowa jest łukiem do wewnątrz albo łukiem na zewnątrz.
Dwoma najczęściej stosowanymi przez inżynierów parametrami podczas projektowania i określania krzywych przejściowych są L (długość krzywej przejściowej) i R. Parametr R odnosi się do promienia krzywizny na jednym końcu krzywej przejściowej. R1 i R2 mogą służyć do rozróżnienia promienia na początku i na końcu krzywej przejściowej.
Poniższa ilustracja przedstawia różne parametry krzywych przejściowych:
| Parametr krzywej przejściowej | Opis |
| R1 | Promień krzywej 1. |
| R2 | Promień krzywej 2. |
| SS | Położenie początkowe krzywej przejściowej. |
| SE | Końcowe położenie krzywej przejściowej. |
| SP | Punkt krzywej przejściowej na długości łuku l. |
| Θ | Centralny kąt w punkcie krzywej przejściowej na długości łuku l. |
| l | Długość łuku od położenia początkowego krzywej przejściowej wzdłuż krzywej przejściowej. |
| L | Całkowita długość łuku krzywej przejściowej między początkowym i końcowym położeniem krzywej przejściowej. |
Złożone krzywe przejściowe umożliwiają przejście między dwoma łukami kołowymi o różnych promieniach. Wyróżniamy dwa rodzaje krzywych przejściowych: proste i złożone. Złożona krzywa przejściowa składa się z dwóch prostych krzywych przejściowych. Składa się z dwóch odcinków, z których każdy jest prostą krzywą złożoną, łączącą się stycznie w sposób ciągły z przyległą krzywą przejściową. Umożliwia to zachowanie ciągłości funkcji krzywizny i stanowi sposób gładkiej przechyłki przejścia przed łukiem.
Program Autodesk Civil 3D obsługuje kilka typów krzywych przejściowych; klotoida jest najczęściej stosowanym typem krzywej przejściowej. Klotoida jest stosowana na całym świecie w projektach autostrad i linii kolejowych.
Zbadana po raz pierwszy przez szwajcarskiego matematyka Leonarda Eulera, funkcja krzywizny klotoidy to funkcja liniowa, której krzywizna w miejscu zetknięcia ze styczną wynosi zero (0), w funkcji długości. Następnie krzywizna rośnie liniowo, aż do zrównania z sąsiednim łukiem w punkcie zetknięcia krzywej przejściowej i łuku.
Inaczej niż w przypadku krzywej prostej, zachowana jest także ciągłość krzywizny lokalnej, co staje się szczególnie ważne przy wyższych prędkościach.
Wzór
Klotoidy można wyrazić następującymi wzorami:
Płaskość krzywej przejściowej:
Całkowity kąt wyznaczony przez krzywą przejściową:
Długość stycznej od punktu Styczna-Łuk w punkcie Styczna-Krzywa przejściowa:
Odległość odsunięcia łuku stycznej od punktu Styczna-Łuk w punkcie Krzywa przejściowa-Łuk:

Zamiast klotoidy jako przejście można zastosować krzywą Blossa. Krzywa przejściowa ma przewagę nad klotoidą, ponieważ przesunięcie P jest mniejsze i dlatego przejście jest dłuższe, przy większym przedłużeniu (K) krzywej przejściowej. Ten czynnik ma znaczenie w projektach kolejowych.
Wzór

Inne wyrażenia:
Długość stycznej od punktu Styczna-Łuk w punkcie Styczna-Krzywa przejściowa:

Odległość odsunięcia łuku stycznej od punktu Styczna-Łuk w punkcie Krzywa przejściowa-Łuk:
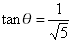
Krzywe sinusoidalne przedstawiają stały przebieg zakrzywienia i można je stosować do przejść ugięć stycznych z przedziału od 0 do 90 stopni. Krzywe sinusoidalne nie są jednak powszechnie stosowane, ponieważ są one bardziej strome niż krzywe „rzeczywiste”, i z tego względu są też trudniejsze do ujęcia w tabele oraz do kontrolowania.
Wzór

Gdzie r stanowi promień krzywizny w danym punkcie.
Ten rodzaj równania jest często stosowany w projektach linii kolejowych w Japonii. Łuk jest bardzo użyteczny, jeśli konieczne jest wydajne przejście krzywizny dla małych kątów odchyleń (w odniesieniu do dynamiki pojazdu).
Wzór
Łuki styczne w postaci połowy sinusoidy zanikającej mogą być wyrażane następującymi wzorami:
Gdzie
i x stanowią odległość od początku do dowolnego punktu na łuku, mierzoną wzdłuż (rozszerzonej) stycznej początkowej; X stanowi sumaryczną wartość X na końcu krzywej przejściowej.
Inne wyrażenia:
Długość stycznej od punktu Styczna-Łuk w punkcie Styczna-Krzywa przejściowa:

Odległość odsunięcia łuku stycznej od punktu Styczna-Łuk w punkcie Krzywa przejściowa-Łuk:

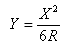
Parabole sześcienne zbiegają się mniej gwałtownie niż krzywe sześcienne, dzięki czemu są często stosowane w projektowaniu linii kolejowych i autostrad.
Wzór
Promień minimalny paraboli sześciennej
Gdzie Θ= centralny kąt w punkcie krzywej przejściowej na długości łuku
.
Zobacz powyższy diagram.
Parabola sześcienna osiąga min. r w:
Więc
Promień paraboli sześciennej zmniejsza się od nieskończoności do
przy kącie 24 stopnie 5 minut 41 sekund i od tego miejsca zaczyna ponownie rosnąć. Z tego względu parabole sześcienne są bezużyteczne przy zakrzywieniach większych niż 24 stopnie.
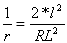
Przejście to zostało opracowane z myślą o wymaganiach inżynierów w Japonii. Utworzono określoną liczbę aproksymacji klotoidy przeznaczonych do stosowania w sytuacjach z małym kątem ugięcia lub dużym promieniem. Jedna z tych aproksymacji, stosowana w Japonii, to sześcienna (JP).
Wzór
Sześcienna (JP) jest definiowana wzorem:
Gdzie X = długość stycznej od punktu styczna-krzywa przejściowa w punkcie krzywa przejściowa-łuk
Ten wzór można również wyrazić w następujący sposób:

Gdzie
jest środkowym kątem krzywej przejściowej (i1 oraz i2 na rysunku)
Inne wyrażenia:
Długość stycznej od punktu Styczna-Łuk w punkcie Styczna-Krzywa przejściowa:

Odległość odsunięcia łuku stycznej od punktu Styczna-Łuk w punkcie Krzywa przejściowa-Łuk:
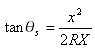
Jest to zmodyfikowana parabola sześcienna spełniająca wymagania normy Nowa Południowa Walia (Australia).
Wzór
Parabolę sześcienną NSW można wyrazić jako:
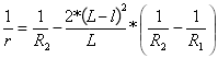
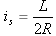
Krzywe przejściowe czwartego stopnia (krzywe przejściowe Schramma) mają niewielkie wartości przyspieszenia pionowego. Zawierają one dwie parabole drugiego stopnia, których promienie zmieniają się wraz z funkcją długości krzywej (l).
Wzór krzywej prostej
Krzywizna pierwszej paraboli:
dla
Krzywizna drugiej paraboli:
dla
Łuk jest określany za pomocą zdefiniowanej przez użytkownika długości (L) krzywej przejściowej.
Wzory krzywych złożonych
Krzywizna pierwszej paraboli:
dla
Krzywizna drugiej paraboli:
dla