Obliczenia połączeń na sworzeń z płaskim łbem i otworem na zawleczkę w przypadku jednostek angielskich

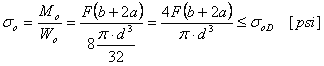
Naprężenie zginające

Nacisk w cięgle

Nacisk w sworzniu

Naprężenie ścinające
Naprężenie ścinające

gdzie:
| | F | siła [funt] |
| | σ 0 | naprężenie zginające [psia] |
| | σ 0D | dopuszczalne naprężenie zginające [psi] |
| | M 0 | moment zginający [funt stopa]. |
| | W 0 | moduł przekroju zgięcia [in 3 ] |
| | τ | naprężenie ścinające [psi] |
| | τ D | dopuszczalne naprężenie ścinające [psi] |
| | d | średnica sworznia [cal] |
| | p 1 | nacisk w cięgle [psi] |
| | p 2 | nacisk w sworzniu [psi] |
| | p 1D | dopuszczalny nacisk w cięgle [psi] |
| | p 2D | dopuszczalny nacisk w sworzniu [psi] |
| | b | szerokość cięgła [cal] |
| | a | szerokość ramienia sworznia [cal] |