Obliczanie proporcji wytrzymałości pasa synchronicznego
| 
| Dla każdego koła pasowego |
F 2 - F 1 + F p = 0 |
| 
|
| 
|
| 
|
Dla napędzającego koła pasowego

| 
| v ≤ v max |
| 
| f b ≤ f max |

F c = mv 2
F Tmax = k 1 F p + F c
F 1 = F tmax
F 2 = F 1 - F p
Dla indywidualnych napędzających kół pasowych i pośrednich
i-indeks koła pasowego
F Pi = P xi F p



F 1i = F 2i-1
F 2i = F 1i + F p i
gdzie:
dla koła synchronicznego
dla koła płaskiego
Dla całego napędu pasowego

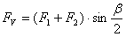
Wymagane rozciągnięcie przy zakładaniu pasa jest określane przez siły koła pasowego w następujący sposób

Przykład przełożenia mocy z kołem pośrednim

Koło napędzające | Płaskie koło pośrednie | Koło napędzane |
P x1 = 1 | P x2 = 0 | P x3 = 1 |
| 
| 
| F P3 = P x3 F p |
| 
| 
| 
|
| 
| 
| 
|
| 
| F 12 = F 21 | 
|
| 
| F 22 = F 12 + F p2 = F 12 | 
|
F c = m v 2 | 
| 
|
F Tmax = k 1 F p + F C | - | F 13 = F 22 |
F 11 = F Tmax | - | F 23 = F 13 + F p3 = F 11 |
F 21 = F 11 - F p | - | 
|
| 
| - | - |
Znaczenie użytych zmiennych:
F p | Efektywny naciąg [N] |
F 1 | Rozciągnięcie pasa po stronie wejściowej danego koła pasowego [N] |
F 2 | Rozciągnięcie pasa po stronie wyjściowej danego koła pasowego [N] |
z | Liczba zębów danego koła pasowego / Liczba zębów pasa [-] |
| β | Łuk opasania / kąt nachylenia boku zęba [stopnie] |
P | moc do przekazania [W] |
P R | Moc znamionowa pasa dla danego układu transmisji pasa [W] |
c L | Współczynnik eksploatacyjny [-] |
| β | Łuk opasania [stopnie] |
T | Moment obrotowy działający na danym kole pasowym [Nm] |
n | Prędkość danego napędzanego koła pasowego [rpm] |
D p | Podział średnicy koła pasowego [m] |
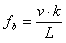
v | Prędkość pasa [m/s] |
k | Liczba kół cięgnowych w przełożeniu pasa [-] |
L | Długość podziału pasa [m] |
P | moc do przekazania [W] |
m | Ciężar właściwy pasa dla danej szerokości [Kg/m] |
k 1 | Współczynnik rozciągliwości pasa [-] |
F p | Efektywny naciąg [N] |
F c | Siła odśrodkowa [N] |
F t | Minimalne rozciągnięcie pasa przy zakładaniu [N] |
P xi | Współczynnik mocy danego koła pasowego [-] |
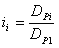
D pi | Podział średnicy koła pasowego [m] |
i | Przełożenie (współczynnik prędkości) danego koła pasowego [-] |
T i | Moment obrotowy działający na danym kole pasowym [Nm] |
| η | Sprawność [-] |
p b | Podział obwodowy [m] |
D | Nominalna średnica płaskiego koła pasowego [m] |
H | Wysokość pasa [m] |
h T | Wysokość zęba pasa [m] |
a | Odsunięcie linii podziału [m] |
Uwaga: i — indeks koła pasowego
Obliczenia podstawowe