Moment bezwładności w przypadku połączeń ze spoiną pachwinową

Wykonanie spoiny

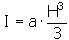
Moment bezwładności spoiny pachwinowej J [mm 4 , cal 4 ]

Położenie środka ciężkości przekroju grupy spoin

 

 
 
 

 
 
 

 
 
 

 
 
 

 
 
 

 
 
 

J = π a (r + a / 2) 3

-

 

 

 

 

 

 

 

 

 
 

 

 
 

 

 
 

 

 

Znaczenie użytych zmiennych:

a

wysokość spoiny kątowej [mm, cal]

B

szerokość grupy spoin [mm, cal]

H

wysokość grupy spoin [mm, cal]

L

długość spoiny [mm, cal]

r

promień spoiny [mm, cal]

s

grubość żebra [mm, cal]

t

grubość kołnierza [mm, cal]