Obliczenia połączeń na sworzeń z płaskim łbem i otworem na zawleczkę w przypadku jednostek metrycznych

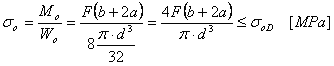
Naprężenie zginające

Nacisk w cięgle

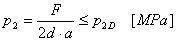
Nacisk w sworzniu

Naprężenie ścinające

gdzie:
| | F | siła [N] |
| | σ 0 | naprężenie zginające [MPa] |
| | σ 0D | dopuszczalne naprężenie zginające [MPa] |
| | M 0 | moment zginający [N mm] |
| | W 0 | moduł przekroju zgięcia [mm 3 ] |
| | τ | naprężenie ścinające [MPa] |
| | τ D | dopuszczalne naprężenie ścinające [MPa] |
| | d | średnica sworznia [mm] |
| | p 1 | nacisk w cięgle [MPa] |
| | p 2 | nacisk w sworzniu [MPa] |
| | p 1D | dopuszczalny nacisk w cięgle [MPa] |
| | p 2D | dopuszczalny nacisk w sworzniu [MPa] |
| | b | szerokość cięgła [mm] |
| | a | szerokość ramienia sworznia [mm] |