Wzory obliczeń splajnu ewolwentowego w przypadku jednostek metrycznych
Przenoszony moment obrotowy

gdzie:
| | P | przenoszona moc [kW] |
| | n | prędkość [min -1 ] |
Nacisk na powierzchnię podporową rowka
1. średnica wewnętrzna wału d h > 0
a) 
b) jeżeli d min ≤d h -> d min = 1,1 d h [mm]
c) jeśli d min ≤ 1,5 d h -> d min = 1,5 d h [mm]
2. średnica wewnętrzna wału d h = 0

gdzie:
| | d min | minimalna średnica wału [mm] |
| | d h | wewnętrzna średnica wału [mm] |
| | T | moment obrotowy [Nm] |
| | K a | współczynnik zewnętrznych sił dynamicznych |
| | K f | współczynnik trwałości |
| | S v | żądane bezpieczeństwo |
| | τ Al | Dopuszczalne naprężenia ścinające |
Minimalna długość rowkowania do przenoszenia momentu obrotowego
1. Połączenie stałe: | |
2. Elastyczne połączenie: | |
gdzie: | |
| | T | moment obrotowy [Nm] |
| | K a | współczynnik zewnętrznych sił dynamicznych |
| | K f | współczynnik trwałości |
| | K w | współczynnik zewnętrznych sił dynamicznych |
| | K m | współczynnik rozłożenia obciążenia |
| | S v | żądane bezpieczeństwo |
| | d s | środkowa średnica = (D + d) / 2 [mm] |
| | D | zewnętrzna średnica przekroju rowka [mm] |
| | d | wewnętrzna średnica przekroju rowka [mm] |
| | N | liczba rowków [-] |
| | h | wysokość rowka = (D - d) / 2 [mm] |
| | s | fazowanie [mm] |
| | h st | wysokość połączenia h st = h - 2 s [mm] |
| | p Dmin | dopuszczalny nacisk na powierzchnię oporową wału i rowka [MPa] |
Dopuszczalny nacisk
1. Połączenie stałe: | |
2. Elastyczne połączenie: | |
gdzie: | |
| | T | moment obrotowy [Nm] |
| | K a | współczynnik zewnętrznych sił dynamicznych |
| | K f | współczynnik trwałości |
| | K w | współczynnik zewnętrznych sił dynamicznych |
| | K m | współczynnik rozłożenia obciążenia |
| | S v | żądane bezpieczeństwo |
| | d s | środkowa średnica = (D + d) / 2 [mm] |
| | D | zewnętrzna średnica przekroju rowka [mm] |
| | d | wewnętrzna średnica przekroju rowka [mm] |
| | N | liczba rowków [-] |
| | h | wysokość rowka = (D - d) / 2 [mm] |
| | s | fazowanie [mm] |
| | h st | wysokość połączenia h st = h - 2 s [mm] |
| | l f | czynna długość wpustu [mm] |
Kontrola wytrzymałościowa
p min ≤ p ds
p min ≤ p dh
gdzie:
| | p min | minimalny obliczony nacisk h/2 [MPa] |
| | p ds | dopuszczalny nacisk w wale [MPa] |
| | p dh | dopuszczalny nacisk w piaście [MPa] |
Obliczenia metryczne zgodnie z CSN 01 4950
Naprężenie zginające

gdzie:
s sf | pomiarowa grubość stopy zęba wałka | s sf = 2,17 m | |
h | wysokość zęba wału | h = 1.1 m - 0.05 | centrowane do boków zęba, płaskie dno rowka |
| | | h = 1.28 m - 0.05 | centrowane do boków zęba, zaokrąglone dno rowka |
| | | h = 1,2 m | centrowane zewnętrznie |
Nacisk na powierzchnię podporową rowka

gdzie:
| | h n | wysokość rowkowania obciążenia łożyska | h n = 0,9 m - 0,05 |
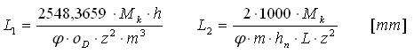
Minimalna długość rowkowania
L min = maks {L 1 , L 2 } [mm]
gdzie:

Zalecane wartości: L = (0,8 - 1,6) D
Kontrola rowkowań
p ≤ p d i σ≤σ d
gdzie:
| | P | przenoszona moc [kW] |
| | n | prędkość [min -1 ] |
| | z | liczba zębów [-] |
| | p D | dopuszczalny nacisk na powierzchnie kontaktowe zębów [MPa] |
| | σ D | dopuszczalne naprężenie zginające [MPa] |
| | L | czynna długość rowkowania [mm] |
| | D | nominalna średnica rowkowania [mm] |
| | φ | współczynnik kontaktu boków zęba |