Obliczanie długości łańcucha rolkowego

Długość łańcucha jest określona liczbą ogniw łańcucha oraz podział łańcucha. Trajektoria napędu łańcucha oparta jest na konkretnej pozycji koła i żądanym kierunku ruchu.

Algorytm obliczania długości łańcucha wykorzystuje średnice podziałowe kół. Średnica podziałowa dla każdego koła napędowego łańcucha rolkowego lub koła pośredniego jest uzyskiwana z poniższych równań.

Pozycja koła przesuwnego jest dostosowana, tak aby uzyskać żądaną długość łańcucha. Aby odnaleźć odpowiednią pozycję koła przesuwnego, w obliczeniach używana jest algebra liniowa i rozwiązanie iteracji.

Podczas obliczania długości łańcucha uwzględniany jest fakt, iż trajektoria złożona jest z segmentów liniowych o długości podziału łańcucha, a łuki są zamieniane na rzeczywiste wieloboki.

Średnice podziałowe

 
 

gdzie:

D P

Średnica podziałowa

p

podział łańcucha

z

liczba zębów koła

 

D p = D + D r

gdzie:

D P

Średnica podziałowa

D

Nominalna średnica koła pośredniczącego

D r

maksymalna średnica rolki łańcucha

Przykład napędu łańcucha z dwoma kołami

Wymagana liczba ogniw dla żądanej odległości osi

Wymagana liczba ogniw jest zaokrąglana do najbliższej liczby parzystej lub nieparzystej, a następnie rzeczywista odległość osi jest wyznaczana jako

C = F p [ 2 X - (z 1 + z 2)]

gdzie:

  

  

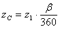
Kąt działania jest wyznaczany jako

  

Liczba zębów w kontakcie z małym kołem

  

Znaczenie użytych zmiennych:

C 0

Wymagana odległość osi [m]

C

Rzeczywista odległość osi [m]

p

Podział łańcucha [m]

z 1

Liczba zębów koła napędowego [-]

z 2

Liczba zębów koła napędzanego [-]

D P1

Średnica podziałowa koła napędowego [m]

D P2

Średnica podziałowa koła napędzanego [m]

X 0

Wymagana liczba ogniw łańcucha [-]

  β

Kąt działania [st]