Wzory obliczeń połączenia wpustowego w przypadku jednostek metrycznych

Przenoszony moment obrotowy

gdzie:
| | P | moc [kW] |
| | n | prędkość [rpm] |
Obliczenia minimalnej średnicy wału
1. średnica wewnętrzna wału d h > 0
a) 
b) jeżeli d min ≤d h -> d min = 1,1 d h [mm]
c) jeśli d min ≤ 1,5 d h -> d min = 1,5 d h [mm]
2. średnica wewnętrzna wału d h = 0

gdzie:
| | d min | minimalna średnica wału [mm] |
| | d h | wewnętrzna średnica wału [mm] |
| | T | moment obrotowy [Nm] |
| | K a | współczynnik zewnętrznych sił dynamicznych |
| | K f | współczynnik trwałości |
| | S v | żądane bezpieczeństwo |
| | τ A | Dopuszczalne naprężenia ścinające |
Obliczenia ogólne
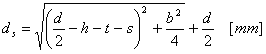
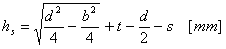
| | zakres aktywności siły na wale |
h k = h - h s - 2 s [mm] | zakres aktywności siły na piaście |
| | średnica wału zakresu aktywności siły |
| | średnica piasty zakresu aktywności siły |
| | siła na wale |
| | siła na piaście |
gdzie: | |
| | T | moment obrotowy [Nm] |
| | F s | siła na wale [N] |
| | F h | siła na piaście [N] |
| | K a | współczynnik zewnętrznych sił dynamicznych |
| | K f | współczynnik trwałości |
| | K w | współczynnik zewnętrznych sił dynamicznych |
| | K m | współczynnik rozłożenia obciążenia |
| | S v | żądane bezpieczeństwo |
| | d | średnica wału [mm] |
| | d s | średnica wału, gdzie działa siła F s [mm] |
| | d h | średnica wału, gdzie działa siła F d [mm] |
| | N | liczba rowków [-] |
| | h | wysokość rowka |
| | h s | wysokość punktu działania siły na wale [mm] |
| | h h | wysokość punktu działania siły na piaście [mm] |
| | b | szerokość rowka |
| | t | głębokość rowka w wale [mm] |
| | s | fazowanie |
| | p Dmins | minimalny dopuszczalny nacisk (rowek, wał) [MPa] |
| | p Dminh | minimalny dopuszczalny nacisk (rowek, piasta) [MPa] |
Minimalna długość wpustu do przenoszenia momentu obrotowego
1. Połączenie stałe: | a) |
| | b) |
| | L min = min(L mins , L minh ) |
2. Elastyczne połączenie: | a) |
| | b) |
| | L min = min(L mins , L minh ) |
gdzie: | |
| | F s | siła na wale [N] |
| | F h | siła na piaście [N] |
| | K a | współczynnik zewnętrznych sił dynamicznych |
| | K f | współczynnik trwałości |
| | K w | współczynnik zewnętrznych sił dynamicznych |
| | K m | współczynnik rozłożenia obciążenia |
| | S v | żądane bezpieczeństwo |
| | d | średnica wału [mm] |
| | N | liczba rowków [-] |
| | h s | wysokość punktu działania siły na wale [mm] |
| | h h | wysokość punktu działania siły na piaście [mm] |
| | p Dmins | minimalny dopuszczalny nacisk (rowek, wał) [MPa] |
| | p Dminh | minimalny dopuszczalny nacisk (rowek, piasta) [MPa] |
Minimalny dopuszczalny nacisk
1. Połączenie stałe: | a) |
| | b) |
2. Elastyczne połączenie: | a) |
| | b) |
gdzie: | |
| | F s | siła na wale [N] |
| | F h | siła na piaście [N] |
| | K a | współczynnik zewnętrznych sił dynamicznych |
| | K f | współczynnik trwałości |
| | K w | współczynnik zewnętrznych sił dynamicznych |
| | K m | współczynnik rozłożenia obciążenia |
| | S v | żądane bezpieczeństwo |
| | d | wewnętrzna średnica przekroju rowka [mm] |
| | N | liczba rowków [-] |
| | h s | wysokość punktu działania siły na wale [mm] |
| | h h | wysokość punktu działania siły na piaście [mm] |
| | l f | czynna długość wpustu [mm] |
Kontrola wytrzymałościowa
p mins ≤ p Ds
p minh ≤ p Dh
gdzie:
| | p mins | minimalny obliczony nacisk ścinający w wale [MPa] |
| | p minh | minimalny obliczony nacisk ścinający w piaście [MPa] |
| | p Ds | dopuszczalny nacisk w wale [MPa] |
| | p Dh | dopuszczalny nacisk w piaście [MPa] |
Obliczenia uproszczone
Minimalna długość wpustu do przenoszenia momentu obrotowego
1. Połączenie stałe: | |
2. Elastyczne połączenie: | |
gdzie: | |
| | T | moment obrotowy [Nm] |
| | K a | współczynnik zewnętrznych sił dynamicznych |
| | K f | współczynnik trwałości |
| | K w | współczynnik zewnętrznych sił dynamicznych |
| | K m | współczynnik rozłożenia obciążenia |
| | S v | żądane bezpieczeństwo |
| | d | średnica wału [mm] |
| | N | liczba rowków [-] |
| | h | wysokość rowka |
| | s | fazowanie |
| | h st | wysokość połączenia h st = h - 2 s [mm] |
| | p Dmin | dopuszczalny nacisk na powierzchnię nośną wału, rowka lub piasty [MPa] |
Dopuszczalny nacisk
1. Połączenie stałe: | |
2. Elastyczne połączenie: | |
gdzie: | |
| | T | moment obrotowy [Nm] |
| | K a | współczynnik zewnętrznych sił dynamicznych |
| | K f | współczynnik trwałości |
| | K w | współczynnik zewnętrznych sił dynamicznych |
| | K m | współczynnik rozłożenia obciążenia |
| | S v | żądane bezpieczeństwo |
| | d | średnica wału [mm] |
| | N | liczba rowków [-] |
| | h | wysokość rowka |
| | s | fazowanie |
| | h st | wysokość połączenia h st = h - 2 s [mm] |
| | l f | czynna długość wpustu [mm] |
Kontrola wytrzymałościowa
p min ≤ p Ds
p min ≤ p Dh
gdzie:
| | p min | minimalny obliczony nacisk h/2 [MPa] |
| | p Ds | dopuszczalny nacisk w wale [MPa] |
| | p Dh | dopuszczalny nacisk w piaście [MPa] |