Piasta rozcięta dwustronnie — wzory w przypadku obliczeń angielskich

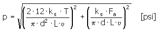
Nacisk

Minimalna długość piasty

Zalecane wartości: L = (0,6 - 3) d
Siła przenoszona przez jedną śrubę

Kontrola wytrzymałości
p ≤ p A
gdzie:
| | F a | siła osiowa [funt] |
| | T | moment obrotowy [funt stopa] |
| | d | średnica wału [cal] |
| | p | nacisk dla kontaktu w połączeniu [psi]. |
| | p A | dopuszczalny nacisk [psi] |
| | L | długość piasty [cal] |
| | υ | współczynnik zacisku υ = 0,008–0,1 [-] |
| | k s | bezpieczeństwo poślizgu [-] |
| | F | siła przenoszona przez jedną śrubę [funt] |
| | F s | siła przenoszona przez wszystkie śruby [funt] |
| | i | całkowita liczba śrub [-] |