Tabela wyników analizy dynamicznej

Następujące wielkości prezentowane są w tabeli wyników analizy dynamicznej:

PCG, Wyboczenie PCG

Równanie problemu własnego: K Vi — λ B Vi = 0

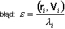
Wektor resztkowy: ri = K Vi — λi B Vi

Solwer iteracyjny, metoda Lanczosa

Równanie problemu własnego: K Vi — λ B Vi = 0

Wektor resztkowy: ri = K Vi — λi B Vi

Solwer bezpośredni

Precyzji nie należy mylić z tolerancją określaną w oknie dialogowym Parametry analizy modalnej. Tolerancja jest określana zgodnie z i jest obliczana dla każdej iteracji. Końcowa dokładność obliczeń jest wyznaczana na końcu obliczeń konstrukcji; zwiększenie dokładności obliczeń może być osiągnięte poprzez zmniejszenie tolerancji lub zwiększenie liczby iteracji.

Uwaga: Jeżeli tylko jeden kierunek jest aktywny, powyższe wzory nie są stosowane i jako wartość średniego współczynnika udziału przyjmowana jest wartość współczynnika z aktywnego kierunku (ze znakiem).

Sumy mas

dla danej postaci, i=1, 2, …, ndir (liczba kierunków).

gdzie

D — Wektor jednostkowy zdefiniowany w podany poniżej sposób:

D(j) = 1.0 jeśli "j" odpowiada i—temu stopniowi swobody

D(j) = 0.0 jeśli j ≠ i,

V — wektor formy własnej "i" znormalizowany w taki sposób, że VT M V = 1.0

Współczynniki spektralne

Dla Eurocode 8 i francuskiej normy sejsmicznej PS92 można wyświetlić wyniki obliczeń sejsmicznych przez wybranie proporcji okresów T j /T i oraz limitu T j /T i .

Wyniki te są pomocne przy wyborze kombinacji kwadratowej formy drgań własnych. W zależności od proporcji T j /T i , oraz linii z ostatnią postacią drgań własnych dla danej sytuacji, w kolumnach 'T j /T i ' oraz limit T j /T i ' wyświetlana jest sugerowana kwadratowa kombinacja postaci drgań własnych. Jeśli wartość proporcji dla przynajmniej jednej postaci dla danego przypadku przekroczy wartość określoną limitem, należy użyć kombinacji CQC, a jeśli wszystkie wartości proporcji T j /T i są mniejsze od limitu T j /T i — należy użyć kombinacji SRSS.

W tabeli wyników analizy dynamicznej przedstawiane mogą być:

Proporcje okresów Tj/Ti, (Ti — okres analizowanej formy drgań własnych, Tj — okres j—tej formy drgań własnych, gdzie j = i + 1).

Limit T j /T i zgodnie z następującymi:

— pkt. 6.6.2.3 normy PS92 ze wzoru

100*ζi — Bezwzględna wartość tłumienia dla analizowanej postaci drgań własnych.

100*ζi — Bezwzględna, maksymalna wartość tłumienia występująca dla analizowanego przypadku.

— pkt. 3.3.3.2 normy EC8 (wartość stała dla wszystkich postaci drgań własnych, równa 0.9)