Cálculo de juntas com pinos clevis em unidades inglesas

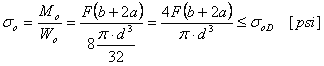
Tensão de vergadura

Pressão na haste

Pressão no clevis

Tensão de cisalhamento
Tensão de cisalhamento

em que:
| | F | força [libras] |
| | σ 0 | tensão de vergadura [psia] |
| | σ 0D | tensão de vergadura suportada [psi] |
| | M 0 | momento de vergadura [libras pés] |
| | W 0 | módulo de seção de flexão [in 3 ] |
| | τ | tensão de cisalhamento [psi] |
| | τ D | tensão de cisalhamento suportada [psi] |
| | d | diâmetro do pino [pol] |
| | p 1 | pressão na vareta [psia] |
| | p 2 | pressão no clevis [psi] |
| | p 1D | pressão suportada na vareta [psi] |
| | p 2D | pressão suportada no clevis [psi] |
| | b | largura da vareta [pol] |
| | a | largura do braço do clevis [pol] |