Cálculo de comprimento de correia síncrona

O comprimento de passagem da correia é determinado pelo número de dentes da correia e pela folga circular. A trajetória da correia é baseada na posição da polia individual. O diâmetro do flanco de cada polia é determinado pelas seguintes equações. A posição da polia deslizante é ajustada para cumprir os critérios regulares de comprimento de correia. O cálculo utiliza a solução de iteração para localizar a posição adequada da polia deslizante que mais se aproxima da posição desejada.

Cálculo do diâmetro do flanco exato

 

Polia síncrona no sentido dos ponteiros do relógio ou correia de dupla face

 

 

Polia plana no sentido dos ponteiros do relógio ou correia de dupla face

D p = D + 2(a + h t )

 

Polia síncrona no sentido contrário aos ponteiros do relógio e correia de face única

D p = D 0 + 2(H - a - h t )

 

Polia plana no sentido contrário aos ponteiros do relógio e correia de face única

D p = D + 2(H - a - h t )

Exemplo de transmissão de potência com 2 polias

Arco de contato

Comprimento da correia de folga

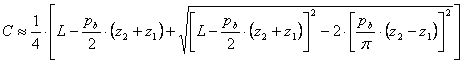
Distância ao centro

Recomenda-se utilizar a fórmula a seguir para calcular a distância ao centro de uma nova transmissão

0,2 p b (z 1 + z 2 ) ≤ C ≤ 0,7 p b (z 1 = z 2)

Significado das variáveis utilizadas:

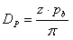
z

Número de dentes da polia especificada/Número de dentes da correia [-]

p b

Folga circular [m]

D

Diâmetro nominal da polia plana [m]

a

Deslocamento da linha de passo [m]

h t

Altura do dente da correia [m]

D 0

Diâmetro externo da polia síncrona [m]

H

Altura da correia [m]

C

Distância ao centro da polia especificada e da polia de transmissão [m]

  β

Arco de contato [graus]