Cálculo de proporções de resistência da correia síncrona
| 
| Para cada polia |
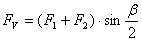
F 2 - F 1 + F p = 0 |
| 
|
| 
|
| 
|
Para a polia motriz

| 
| v ≤ v máx. |
| 
| f b ≤ f máx. |

F c = mv 2
F Tmax = k 1 F p + F c
F 1 = F tmax
F 2 = F 1 - F p
Para polias conduzidas e intermediárias individuais
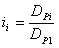
índice i da polia
F Pi = P xi F p



F 1i = F 2i-1
F 2i = F 1i + F p i
em que:
para polia síncrona
para polia plana
Para toda a transmissão da correia

A tensão de instalação requerida da correia é determinada a partir das forças que atuam sobre a polia motriz da forma a seguir

Exemplo de transmissão de potência com polia intermediária

Polia acionadora | Polia plana | Polia conduzida |
P x1 = 1 | P x2 = 0 | P x3 = 1 |
| 
| 
| F P3 = P x3 F p |
| 
| 
| 
|
| 
| 
| 
|
| 
| F 12 = F 21 | 
|
| 
| F 22 = F 12 + F p2 = F 12 | 
|
F c = m v 2 | 
| 
|
F Tmax = k 1 F p + F C | - | F 13 = F 22 |
F 11 = F Tmax | - | F 23 = F 13 + F p3 = F 11 |
F 21 = F 11 - F p | - | 
|
| 
| - | - |
Significado das variáveis utilizadas:
F p | Desmoldagem efetiva [N] |
F 1 | Tensão da correia no lado de entrada da polia especificada [N] |
F 2 | Tensão de correia no lado de saída da polia especificada [N] |
z | Número de dentes da polia especificada/Número de dentes da correia [-] |
| β | Arco de contato/ângulo do dente de inclinação lateral [gr] |
P | potência para transmitir [W] |
P R | Taxa de potência da correia para um dado layout de transmissão [W] |
c L | Fator de serviço [-] |
| β | Arco de contato [graus] |
T | Torque em uma polia especificada [Nm] |
n | Velocidade da polia especificada [rpm] |
D p | Diâmetro do flanco da polia [m] |
v | Velocidade da correia [m/s] |
k | Número de polias na transmissão da correia [-] |
L | Comprimento de passagem da correia [m] |
P | potência para transmitir [W] |
m | Peso específico de correia para determinada largura [Kg/m] |
k 1 | Fator de tensão da correia [-] |
F p | Desmoldagem efetiva [N] |
F c | Força centrífuga [N] |
F t | Tensão mínima de instalação da correia [N] |
P xi | Taxa de potência da polia especificada [-] |
D pi | Diâmetro do flanco da polia [m] |
i | Taxa de transmissão (taxa de velocidade) da polia especificada [-] |
T i | Torque em uma polia especificada [Nm] |
| η | Eficiência [-] |
p b | Folga circular [m] |
D | Diâmetro nominal da polia plana [m] |
H | Altura da correia [m] |
h T | Altura do dente da correia [m] |
a | Deslocamento da linha de passo [m] |
Observação: i = índice da polia
Conceitos básicos de cálculo