Estas fórmulas são usadas para solucionar um eixo (com uma ou mais seções) ou uma viga (com uma seção constante) com múltiplos suportes e cargas.
O eixo do eixo / viga é alinhado com o eixo Z. Se é incluído no cálculo o impacto da densidade do material, então o vetor da gravidade é alinhado com o eixo Y. Se é incluído no cálculo o impacto da densidade do material, então o vetor da gravidade é alinhado com o eixo Y.
Forças de corte:
![]()
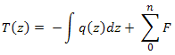
Momentos de flexão:
![]()
Ângulo de deflexão:
![]()
em que:
E | módulo de elasticidade em tensão | |
J | momento de inércia | |
G | módulo de rigidez | |
| β | coeficiente de deslocamento do corte |
Deflexão:
![]()
Tensão de vergadura:
![]()
Tensão de corte:
![]()
Tensão de torção:
![]()
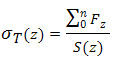
Tensão de tração:
![]()
Tensão reduzida:
![]()
em que:
| σ B | tensão de dobra | |
| σ T | tensão | |
| τ | tensão de torção | |
| τ S | tensão de corte | |
| α | α = 3 para HMH | |
| α = 4 para Tresca-Guest |
Exemplo de cálculo
![]()
Módulo de elasticidade E= 210 000 MPa
Módulo de rigidez G = 81 000 MPa
Coeficiente de deslocamento de corte β = 1,118
Modo de tensão reduzida: HMH
Não incluir a densidade do material.
Forças de suporte:
![]()
![]()
Tensão de corte máxima:
![]()
Tensão de torção máxima:
![]()
Momento máximo:
![]()
Tensão de flexão máxima:
![]()
Tensão reduzida máxima:
![]()
Ângulo de torção:
![]()
![]()