Cálculo das proporções de resistência da correia trapezoidal

Equações gerais utilizadas

 

 

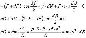
Onde m é uma massa de correia específica definida como m = S ρ

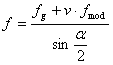
Fator de atrito modificado da polia especificada

 

 

 

f = f g + v f mod

Equações fundamentais de polias impulsoras e correias

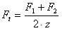
potência para transmitir

Velocidade de correia

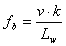
Frequência de flexão da correia

Desmoldagem efetiva (ou tensão efetiva)

Força centrífuga

Fc = z m v 2

Tensão nos intervalos da correia

Com as equações seguintes, o aplicativo primeiro determina a polia com maior probabilidade de requerer a tensão máxima de instalação de correia para poder transmitir uma carga. Em seguida, a tensão da correia de cada intervalo é ajustada para todas as polias com respeito à tensão de instalação da correia inicial.

 

 

F 1i - F p P xi - F 2i = 0

 

 

O critério para determinar a polia mais provável é a tensão do lado de máximo aperto

F 1máx = máx (F 1i)

A tensão máxima total no intervalo da correia (para cada correia) quando a transmissão da correia é localizada abaixo da carga completa é determinada como

Onde a expressão “k 1 F 1máx” é a tensão máxima real no espaço da correia considerado para todas as correias da transmissão. Deste modo, todas as tensões correspondentes dos diferentes segmentos são calculados novamente para cumprir a seguinte condição:

F 1i - F P P xi - F 2i = 0

Carga axial resultante para cada polia quando a transmissão da correia é localizada abaixo da carga completa

Observação: Nas polias motrizes e polias intermediárias, os valores F 1 e F 2 são invertidos no gerador, de modo que F 1 é a tensão na entrada do vão da correia e F 2 é a tensão na saída no sentido do movimento da correia.

Tensão de instalação inicial da correia e força de tensionamento estática

A tensão de instalação inicial da correia requerida (para cada correia) pode ser ajustada com o fator de tensão e é calculada do modo a seguir:

A força de tensionamento estático F v é determinada para cada polia. O aplicativo calcula a força de tensionamento que atua sobre o eixo dos intervalos da correia da forma seguinte:

 

 

Significado das variáveis utilizadas:

CForça tangencial [N]
  βArco de contato [graus]
  αÂngulo de setor [gr]
CForça centrífuga [N]
NForça normal [N]
mMassa específica da correia [kg/m]
vVelocidade da correia [m/s]
RRaio de polia [m]
SÁrea da seção transversal da correia [m 2 ]
TTorque em uma polia especificada [Nm]
D pDiâmetro do flanco de polia [m]
kNúmero de polias [-]
Ppotência para transmitir [N]
vVelocidade da correia [m/s]
F cForça centrífuga [N]
F 1Tensão no segmento da correia na entrada para a polia especificada [-]
F 2Tensão no segmento da correia na saída para a polia especificada [-]
fFator de atrito alterado da polia especificada [-]
P xTaxa de potência da polia especificada [-]
f gFator de atrito do material e correia da polia especificada [-]

f mod

Fator de velocidade de modificação do atrito [s/m]
ZNúmero de correias [-]
  ρDensidade da correia [kg/m3]
F tTensão inicial de instalação da correia [N
F vForça de tensionamento estática para a polia especificada [N]
k 1Fator de tensão da correia [-]
Observação: i - índice da polia