Cálculo do comprimento de correia trapezoidal

O comprimento da correia é determinado no sistema efetivo ou de referência. Por este motivo, os diâmetros de referência e efetivos são calculados primeiro para cada polia. A trajetória da correia é baseada na posição da polia individual. A posição da polia deslizante é ajustada para cumprir os critérios regulares de comprimento de correia. O cálculo utiliza a solução de iteração para localizar a posição adequada da polia deslizante que mais se aproxima da posição desejada (ou da atual).

Diâmetros das polias

 

Polia estriada

D e = D w + 2 h w

D p = D w + 2 a

D d = D w

 

Polia plana em sentido horário

D e = D + 2 h

D p = D + 2 (h - h w + a)

D d = D + 2(h - h w )

 

Polia plana em sentido anti-horário

D e = D

D p = D + 2 (h w - a)

D d = D + 2 h w

Exemplo de transmissão de potência com 2 polias

Este exemplo utiliza o sistema de referência.

Arco de contato

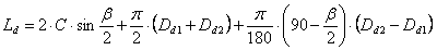
Comprimento de correia de referência

Distância ao centro

Recomenda-se utilizar a fórmula a seguir para calcular a distância ao centro de uma nova transmissão

0,7 (D d1 + D d2 ) ≤ C ≤ 2 (D d1 + D d2 )

Significado das variáveis utilizadas:

D W

Diâmetro nominal (de referência ou efetivo) [m]

D e

Diâmetro efetivo (externo) de polia [m]

h w

Altura nominal (para sistema efetivo h w = 0) [m]

a

Deslocamento da linha de passo (no sistema efetivo é um valor negativo) [m]

D

Diâmetro nominal e externo da polia plana [m]

h

Altura da correia [m]

D d

Diâmetro de referência da polia [m]

C

Distância ao centro [m]

  β

Arco de contato [graus]

L d

Comprimento de referência de correia [m]