Cálculo de juntas de pinos clevis para unidades métricas

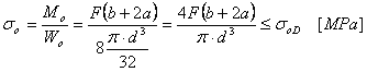
Tensão de vergadura

Pressão na haste

Pressão no clevis

Tensão de cisalhamento

em que:
| | F | força [N] |
| | σ 0 | tensão de dobra [MPa] |
| | σ 0D | tensão de dobra suportada [MPa] |
| | M 0 | momento de dobra[N mm] |
| | W 0 | módulo de seção de flexão [mm 3 ] |
| | τ | tensão de corte [MPa] |
| | τ D | tensão de corte suportada [MPa] |
| | d | diâmetro do pino [mm] |
| | p 1 | pressão na vareta [MPa] |
| | p 2 | pressão no clevis [MPa] |
| | p 1D | pressão suportada na vareta [MPa] |
| | p 2D | pressão suportada no clevis [MPa] |
| | b | largura da vareta [mm] |
| | a | largura do braço do clevis [mm] |