Editar equações de planificação personalizadas
Utilize equações personalizadas para especificar exatamente como deseja inserir a planificação das zonas de dobra nos modelos dobrados de peça de chapa de metal.

As peças de chapa de metal são definidas por seu estado de dobra ou funcional, mas são fabricadas com uma folha plana. As dobras que se desdobram para formar a planificação deformam o material na zona de dobra. A magnitude da deformação depende de uma série de variáveis. Para alterar o modelo dobrado a um estado alisado, é necessário incorporar esta deformação utilizando um dos três métodos seguintes:
- Uma aproximação linear usando um Fator K definido
- Valores medidos capturados em uma tabela de dobra para determinados materiais, valores de ângulo de dobra e ferramentas.
- Equações personalizadas que geram deformação uniforme em condições de limite angular especificadas
Essas equações personalizadas são definidas em uma regra de planificação com nome que é definido através da caixa de diálogo Editor de estilos e normas.
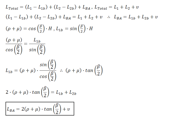
Tipo de compensação de vergadura

Você utiliza a equação de compensação de dobra para determinar o comprimento total desenvolvido:

em que:
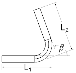
. É o comprimento total desenvolvido.
. É o comprimento entre a primeira face detalhada e a interseção virtual.
. É o comprimento entre a segunda face detalhada e a interseção virtual.
. É o resultado do cálculo da tolerância de dobra. O Inventor calcula a tolerância de dobra através das seguintes equações. Nos casos angulares, quando o
Inventor usa a equação
, em que:
. É o ângulo de dobra.
. É o comprimento da tolerância de dobra.
. É o raio interior da placa de dobra.
. É a espessura da chapa.
. É o resultado do cálculo da tolerância de dobra.
O resultado da ampliação da equação original para incluir o cálculo da tolerância de dobra é:


Nos casos angulares, quando
, a seguinte equação é utilizada:

O resultado da ampliação da equação original para incluir o cálculo da tolerância de dobra é:


Uma vez determinada a tolerância de dobra, o Fator K pode ser obtido através de:

Tipo de dedução de vergadura

Utilize a equação de dedução de dobra para determinar o comprimento total desenvolvido.

em que:
. É o comprimento total desenvolvido.
. É o comprimento entre a primeira face detalhada e a interseção virtual.
. É o comprimento entre a segunda face detalhada e a interseção virtual.
. É o resultado do cálculo da tolerância de dobra.
A equação de dedução de dobra oferece um método de cálculo que é o método oposto ao da compensação de dobra.
Para as deduções de dobra, o Inventor calcula uma tolerância de dobra usando as seguintes equações.
Nos casos angulares:


A equação é
, em que:
. É o ângulo de dobra.
. É o comprimento da tolerância de dobra.
. É o raio interior da placa de dobra.
. É a espessura da chapa.
. É o resultado do cálculo da tolerância de dobra.
Nos casos angulares, quando
, a equação usada é: 
Tipo de tolerância de vergadura

Utilize a equação de tolerância de dobra
para determinar o comprimento total desenvolvido, em que:
. É o comprimento total desenvolvido.
. É o comprimento da primeira placa de dobra.
. É o comprimento da segunda placa de dobra.
. É o resultado do cálculo da tolerância de dobra.
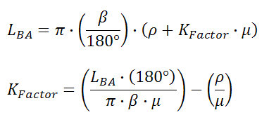
É incluída uma equação definida para resolver diretamente a tolerância de dobra. O Fator K pode ser obtido a partir da seguinte equação:

Tipo de Fator K

Para determinar o comprimento total desenvolvido com o método Fator K a equação é utilizada:

em que:
. É o comprimento total desenvolvido.
. É o comprimento da primeira placa de dobra.
. É o comprimento da segunda placa de dobra.
. É o resultado do cálculo da tolerância de dobra.
A tolerância de vergadura é calculada utilizando a seguinte equação:

Editar equações de planificação personalizadas
É possível definir quatro tipos de equações personalizadas ao editar uma regra de planificação com nome.
O tipo de equação selecionado na caixa de diálogo Editor de estilos e normas determina a variável que define o lado esquerdo da equação. Teclas de inserção de caracteres na caixa de diálogo Edição de equação fornecem a capacidade de inserir com um único clique: raio, espessura e Pi.
O tipo de variável é definido pelo Tipo de equação selecionado na caixa de diálogo Editor de estilos e normas antes de acessar a caixa de diálogo Editor de equação.
- Na caixa de diálogo Editor de estilos e normas, quando o Método de planificação é Equação personalizada, clique duas vezes na célula Equação personalizada à esquerda da condição de contorno para a qual você deseja definir uma equação personalizada.
- Na caixa de diálogo Edição de equação, insira a equação que define a variável exibida fora da caixa de entrada da equação:
. Insere a variável do ângulo medido em uma equação de desdobramento personalizada.
. Insere a variável do raio interno medido em uma equação de planificação personalizada.
. Insere a variável da espessura medida em uma equação de planificação personalizada.
. Insere o valor matemático de Pi em uma equação de desdobramento personalizada.
- O campo de entrada da equação aceita a entrada com o teclado para definir uma equação de planificação personalizada.
- (Opcional) Para alterar o tipo de variável pela qual a equação personalizada é resolvida, clique em Cancelar e selecione o Tipo de equação correto na caixa de diálogo Editor de estilos e normas.
Editar condições de contorno da equação de planificação personalizada
É possível definir as equações de planificação para faixas de ângulos, raios e espessuras, especificando condições de contorno usando a caixa de diálogo Edição de contorno.
- Quando Equação personalizada é o Método de planificação selecionado na caixa de diálogo Editor de estilo e padrão, à direita da equação personalizada para a qual você deseja definir uma condição de contorno, clique duas vezes na célula Condição de contorno.
- Na caixa de diálogo Edição de contorno, linha superior das listas suspensas, selecione os operadores de igualdade e o tipo de faixa para criar uma equação que especifica a faixa para ângulo, espessura ou raio.
- Nas linhas inferiores, nas caixas dos lados esquerdo e direito, insira valores para os limites da condição de delimitação.