Gerador de pinos de junta

Valores recomendados
d = (0,12 - 0,25) D
l = (1 - 1,5) D
Comprimento ativo do pino
O comprimento ativo do pino l f diminui com os chanfros e as concordâncias. e costuma suportar a carga.
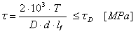
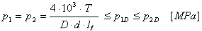
Fórmulas em unidades métricas
Torque transferido

Verificação de tensão de corte

Verificação de pressão de contato

em que:
| | P | potência transferida [kW] |
| | n | velocidade [rpm] |
| | T | torque [Nm] |
| | τ | tensão de corte [MPa] |
| | τ A | tensão de corte suportada [MPa] |
| | d | diâmetro do pino [mm] |
| | p 1 | pressão no eixo [MPa] |
| | p 2 | pressão no cubo [MPa] |
| | p 1A | pressão suportada no eixo [MPa] |
| | p 2A | pressão suportada no cubo [MPa] |
| | D | diâmetro do eixo [mm] |
| | D 1 | diâmetro do cubo [mm] |
| | l f | comprimento ativo do pino [mm] |
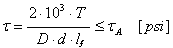
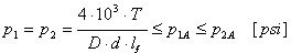
Fórmulas em unidades imperiais
Torque transferido

Verificação de tensão de corte

Verificação de pressão de contato

em que:
| | P | potência transferida [CV] |
| | n | velocidade [rpm] |
| | T | torque [libras/pés] |
| | τ | tensão de cisalhamento [psi] |
| | τ A | tensão de cisalhamento suportada [psi] |
| | d | diâmetro do pino [pol] |
| | p 1 | pressão no eixo [psi] |
| | p 2 | pressão no cubo [psi] |
| | p 1A | pressão suportada no eixo [psi] |
| | p 2A | pressão suportada no cubo [psi] |
| | D | diâmetro do eixo [pol] |
| | D 1 | diâmetro do cubo [pol] |
| | l f | comprimento ativo do pino [pol] |