Fórmulas de cálculo de splines com curva evolvente em unidades métricas
Torque transferido

em que:
| | P | potência transferida [Kw] |
| | n | velocidade [min -1 ] |
Pressão na superfície de suporte chanfrado
1. diâmetro interno do eixo dh > 0
a) 
b) se d min ≤ d h -> d min = 1,1 d h [mm]
c) se d min ≤ 1,5 d h -> d min = 1,5 d h [mm]
2. diâmetro interno do eixo dh = 0

em que:
| | d mín. | diâmetro mínimo do eixo [mm] |
| | d h | diâmetro interno do eixo [mm] |
| | T | torque [Nm] |
| | K a | fator de aplicação |
| | K f | fator de vida útil de fadiga |
| | S v | segurança desejada |
| | τ Al | Tensão de corte suportada |
Comprimento mínimo das splines para transferir o torque
1. Conexão fixa: | |
2. Conexão flexível: | |
em que: | |
| | T | torque [Nm] |
| | K a | fator de aplicação |
| | K f | fator de vida útil de desgaste |
| | K w | fator de aplicação |
| | K m | fator de distribuição da carga |
| | S v | segurança desejada |
| | d s | diâmetro do meio = (D + d) / 2 [mm] |
| | D | diâmetro externo da seção chanfrado [mm] |
| | d | diâmetro interno da seção chanfrado [mm] |
| | N | número de ranhuras [-] |
| | h | altura chanfrada = (D - d) / 2 [mm] |
| | s | chanfro [mm] |
| | h st | altura de conexão h st = h - 2 s [mm] |
| | p Dmin | pressão suportada na superfície de suporte do eixo ou ranhura [MPa] |
Pressão suportada
1. Conexão fixa: | |
2. Conexão flexível: | |
em que: | |
| | T | torque [Nm] |
| | K a | fator de aplicação |
| | K f | fator de vida útil de desgaste |
| | K w | fator de aplicação |
| | K m | fator de distribuição da carga |
| | S v | segurança desejada |
| | d s | diâmetro do meio = (D + d) / 2 [mm] |
| | D | diâmetro externo da seção chanfrado [mm] |
| | d | diâmetro interno da seção chanfrado [mm] |
| | N | número de ranhuras [-] |
| | h | altura chanfrada = (D - d) / 2 [mm] |
| | s | chanfro [mm] |
| | h st | altura de conexão h st = h - 2 s [mm] |
| | l f | comprimento ativo da chave [mm] |
Verificação da resistência
p mín ≤ p ds
p mín ≤ p dh
em que:
| | p min | pressão mínima calculada h/2 [MPa] |
| | p ds | pressão suportada no eixo [MPa] |
| | p dh | pressão suportada no cubo [MPa] |
Cálculo em unidades métricas segundo a norma CSN 01 4950
Tensão de vergadura

em que:
s sf | espessura de dedendum do dente cordal do eixo | s sf = 2,17m | |
h | altura do dente do eixo | h = 1,1m - 0,05 | centralizado nos lados do dente, parte inferior chanfrada plana |
| | | h = 1,28m - 0,05 | centralizado nos lados do dente, parte inferior chanfrada redonda |
| | | h = 1,2 m | centralização externa |
Pressão na superfície de suporte chanfrado

em que:
| | h n | altura da spline do rolamento da carga | h n = 0,9 m - 0,05 |
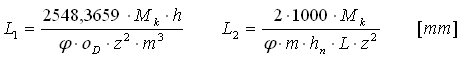
Comprimento mínimo das splines
L min = max {L 1 , L 2 } [mm]
em que:

Valores recomendados: L = (0,8 - 1,6) D
Verificação das splines
p ≤ p d e σ≤σ d
em que:
| | P | potência transferida [kW] |
| | n | velocidade [min -1 ] |
| | z | número do dente [-] |
| | p D | pressão suportada nas superfícies de contato dos dentes [MPa] |
| | σ D | tensão de dobra suportada [MPa] |
| | L | comprimento ativo da spline [mm] |
| | D | diâmetro de spline nominal [mm] |
| | φ | fator de contato da lateral do dente |