Fórmulas de cálculo de junções de chave em unidades métricas

Torque transferido

em que:
| | P | potência [kW] |
| | n | velocidade [rpm] |
Cálculo do diâmetro de eixo mínimo
1. diâmetro interno do eixo dh > 0
a) 
b) se d min ≤ d h -> d min = 1,1 d h [mm]
c) se d min ≤ 1,5 d h -> d min = 1,5 d h [mm]
2. diâmetro interno do eixo dh = 0

em que:
| | d mín. | diâmetro mínimo do eixo [mm] |
| | d h | diâmetro interno do eixo [mm] |
| | T | torque [Nm] |
| | K a | fator de aplicação |
| | K f | fator de vida útil de fadiga |
| | S v | segurança desejada |
| | τ A | Tensão de corte suportada |
Cálculo geral
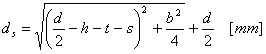
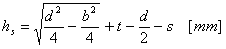
| | a faixa de atividade da força no eixo |
h k = h - h s - 2 s [mm] | a faixa de atividade da força no cubo |
| | diâmetro do eixo da faixa da atividade da força |
| | diâmetro do cubo da faixa de atividade da força |
| | força no eixo |
| | força no cubo |
em que: | |
| | T | torque [Nm] |
| | F s | força no eixo [N] |
| | F h | força no cubo [N] |
| | K a | fator de aplicação |
| | K f | fator de vida útil de desgaste |
| | K w | fator de aplicação |
| | K m | fator de distribuição da carga |
| | S v | segurança desejada |
| | d | diâmetro do eixo [mm] |
| | d s | diâmetro do eixo onde atua a força F s [mm] |
| | d h | diâmetro do eixo onde atua a força F d [mm] |
| | N | número de ranhuras [-] |
| | h | altura chanfrada |
| | h s | altura de ponto de força de ação no eixo [mm] |
| | h h | altura de ponto de força de ação no cubo [ mm] |
| | b | largura chanfrada |
| | t | profundidade chanfrada no eixo [mm] |
| | s | chanfro |
| | p Dmins | pressão mínima suportada (ranhura, eixo) [MPa] |
| | p Dminh | pressão mínima suportada (ranhura, cubo) [MPa] |
Comprimento mínimo de chave para transferir o torque
1. Conexão fixa: | a) |
| | b) |
| | L min = min(L mins , L minh ) |
2. Conexão flexível: | a) |
| | b) |
| | L min = min(L mins , L minh ) |
em que: | |
| | F s | força no eixo [N] |
| | F h | força no cubo [N] |
| | K a | fator de aplicação |
| | K f | fator de vida útil de desgaste |
| | K w | fator de aplicação |
| | K m | fator de distribuição da carga |
| | S v | segurança desejada |
| | d | diâmetro do eixo [mm] |
| | N | número de ranhuras [-] |
| | h s | altura de ponto de força de ação no eixo [mm] |
| | h h | altura de ponto de força de ação no cubo [ mm] |
| | p Dmins | pressão mínima suportada (ranhura, eixo) [MPa] |
| | p Dminh | pressão mínima suportada (ranhura, cubo) [MPa] |
Pressão mínima suportada
1. Conexão fixa: | a) |
| | b) |
2. Conexão flexível: | a) |
| | b) |
em que: | |
| | F s | força no eixo [N] |
| | F h | força no cubo [N] |
| | K a | fator de aplicação |
| | K f | fator de vida útil de desgaste |
| | K w | fator de aplicação |
| | K m | fator de distribuição da carga |
| | S v | segurança desejada |
| | d | diâmetro interno da seção chanfrado [mm] |
| | N | número de ranhuras [-] |
| | h s | altura de ponto de força de ação no eixo [mm] |
| | h h | altura de ponto de força de ação no cubo [ mm] |
| | l f | comprimento ativo da chave [mm] |
Verificação da resistência
p mins ≤ p Ds
p minh ≤ p Dh
em que:
| | p mins | pressão de corte mínima calculada no eixo [MPa] |
| | p minh | pressão de corte mínima calculada no cubo [MPa] |
| | p Ds | pressão suportada no eixo [MPa] |
| | p Dh | pressão suportada no cubo [MPa] |
Cálculo simplificado
Comprimento mínimo de chave para transferir o torque
1. Conexão fixa: | |
2. Conexão flexível: | |
em que: | |
| | T | torque [Nm] |
| | K a | fator de aplicação |
| | K f | fator de vida útil de desgaste |
| | K w | fator de aplicação |
| | K m | fator de distribuição da carga |
| | S v | segurança desejada |
| | d | diâmetro do eixo [mm] |
| | N | número de ranhuras [-] |
| | h | altura chanfrada |
| | s | chanfro |
| | h st | altura de conexão h st = h - 2 s [mm] |
| | p Dmin | pressão suportada na superfície de suporte do eixo, ranhura ou cubo [MPa] |
Pressão suportada
1. Conexão fixa: | |
2. Conexão flexível: | |
em que: | |
| | T | torque [Nm] |
| | K a | fator de aplicação |
| | K f | fator de vida útil de desgaste |
| | K w | fator de aplicação |
| | K m | fator de distribuição da carga |
| | S v | segurança desejada |
| | d | diâmetro do eixo [mm] |
| | N | número de ranhuras [-] |
| | h | altura chanfrada |
| | s | chanfro |
| | h st | altura de conexão h st = h - 2 s [mm] |
| | l f | comprimento ativo da chave [mm] |
Verificação da resistência
p mín ≤ p Ds
p mín ≤ p Dh
em que:
| | p min | pressão mínima calculada h/2 [MPa] |
| | p Ds | pressão suportada no eixo [MPa] |
| | p Dh | pressão suportada no cubo [MPa] |