Verificação de resistência da correia trapezoidal

Para determinar o número de correias necessárias ou para executar uma verificação de resistência da transmissão da correia, o aplicativo compara a taxa de potência da correia com a potência a ser transmitida. Para obter a taxa de potência da correia, a taxa de potência base da correia é utilizada e corrigida com fatores específicos calculados a partir do layout de transmissão da correia especificada.

Taxa de potência base da correia P BR

A taxa de potência base da correia é calculada através de fórmulas definidas na tabela de dados XML e armazenada nas pastas Design Data. A cada correia incluída no gerador de correias em v é descrita em um arquivo XML específico que contém todos os tamanhos disponíveis de correia, assim como as propriedades mecânicas requeridas. As fórmulas e os fatores empregados na potência base são obtida de recomendações habituais que podem não coincidir com os dados reais do fabricante. É possível personalizar a taxa de potência base da correia e incluir dados reais dos catálogos dos fabricantes de correias. Normalmente, a taxa de potência regular recomendada é mais conservadora e suporta a incorporação de valores do fabricante, ainda que seja possível que a transmissão da correia fique sobreprojetada.

Em geral, a taxa de potência base da correia é uma função da velocidade, o diâmetro do flanco e a taxa de velocidade da menor polia (impulsora ou impulsionada).

P RB = F(n j , D Pj , i j )

Observação: O índice j representa o índice da menor polia impulsora ou impulsionada na transmissão da correia.

Taxa de potência da correia P R

P R = P RB c 1 c 3 c 4 c 5

Fator de serviço resultante

A verificação de resistência falha se o fator de serviço resultante C PR < C p

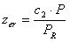
Número de correias necessário

Inspeção de sobretensão

A tensão máxima suportada na correia é calculada como

A verificação de resistência falha se F máx < F t máx ou F máx < F t

Inspeção de velocidade da correia e frequência de flexão válidas

Se a frequência de flexão da correia for fb > f máx., a eficiência poderá diminuir e poderá ocorrer dano prematuro à correia. É exibida a advertência de erro.

Se a velocidade da correia v > v máx., é exibida uma advertência de erro, pois a correia não foi projetada para essa velocidade.

Significado das variáveis utilizadas:

f máx

Frequência de flexão da correia máxima [Hz]

f b

Frequência de flexão da correia para a transmissão de correia especificada [Hz]

n

Velocidade da polia especificada [rpm]

D P

Diâmetro nominal e externo da polia plana [m]

i

Taxa de transmissão (taxa de velocidade) da polia especificada [-]

c 1

Fator de correção do arco de contato [-]

c 2

Fator de serviço [-]

c 3

Fator de correção do comprimento da correia [-]

c 4

Fator de correção do número de correias [-]

c 5

Fator de correção do número de polias [-]

z

Número de correias [-]

P R

Taxa de potência da correia para um dado layout de transmissão [W]

P

potência para transmitir [W]

v

Velocidade da correia [m/s]

v máx

Velocidade de correia máxima suportada [m/s]

Observação: O índice j representa o índice da menor polia impulsora ou impulsionada na transmissão da correia.

Cálculo básico de geometria