Fórmulas do cubo separado para o cálculo em unidades inglesas

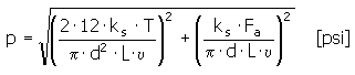
Pressão de contato

Comprimento mínimo do cubo

Valores recomendados : L = (0,6 - 3) d
Força suportada por um parafuso

Verificação da resistência
p ≤ p A
em que:
| | F a | força axial [libras] |
| | T | torque [libras/pés] |
| | d | diâmetro do eixo [pol] |
| | p | pressão de contato em uma junta [psi] |
| | p A | pressão suportada [psi] |
| | L | comprimento do cubo [pol] |
| | υ | fator de fixação υ = 0,008 a 0,1 [-] |
| | k s | segurança de deslizamento [-] |
| | F | força suportada por um parafuso [libras] |
| | F s | força suportada por todos os parafusos [libras] |
| | i | número total de parafusos [-] |