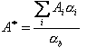
A função principal do módulo Definição de seção é indicar as propriedades geométricas da seção de sólido definida. Para seções compostas, somente as propriedades ponderadas são calculadas (marcadas com *), usando a seguinte fórmula:

em que:
i – o material i da seção composta.
b – material de base da seção composta.
Os resultados gerais incluem os seguintes valores, que são fornecidos como valores geométricos e ponderados: área, coordenadas do centro de gravidade, dimensões e parâmetros do material de base (módulo de Young, densidade, peso por unidade). É possível selecionar para executar cálculos adicionais (selecione a opção apropriada e clique em Calcular).
Os módulos plásticos de seção sobre os eixos de seção principal e central são calculados com base nas seguintes fórmulas:

Um momento fletor em relação ao eixo y ou z, que causa a plastificação completa de uma seção, é um produto de um valor do módulo plástico de seção em torno do eixo y ou z e um valor de ponto de escoamento. As superfícies de áreas iguais resultantes da divisão por meio da linha neutra paralela ao eixo y são representadas por
. As superfícies de áreas iguais resultantes da divisão por meio da linha neutra paralela ao eixo z são representadas por
.
Os resultados de cálculos adicionais são exibidos na guia Sistema principal da caixa de diálogo Resultados.