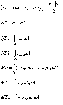
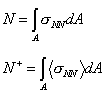
Forças internas na tabela

As forças resultantes equivalentes disponíveis na tabela de resultados são calculadas com base nas seguintes fórmulas

<…> – (símbolo de Föppl) ou o operador positivo expresso como: