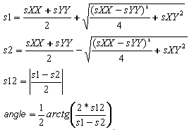
Fórmulas que determinam os valores principais e complexos

Os valores de tensão principais são definidos de acordo com as seguintes fórmulas.

Nota: Os valores principais das forças de membrana N e dos momentos M são definidos de acordo com as mesmas fórmulas. As tensões de denotação S são substituídas pelas letras N e M, respectivamente.

Um valor de tensão S complexo (reduzido) (von Mises) é definido de acordo com a fórmula a seguir.

Nota: Os valores das forças de membrana reduzida N e do momento M são definidos de acordo com a mesma fórmula. As tensões de denotação S são substituídas pelas letras N e M, respectivamente.