Durante o projeto de uma coluna de CA sujeita à compressão e curvatura, o programa verifica de forma independente as três seções transversais ao longo da altura da coluna: superior, inferior e posicionada na peça central (a posição exata dessa seção transversal é determinada pelo momento central de acordo com as diretrizes de normas individuais).
Dependendo das recomendações da norma, a posição da seção transversal e se é uma coluna indeslocável ou não deslocável determinam se os efeitos da segunda ordem são considerados em uma determinada seção transversal (obviamente, se a esbeltez da coluna exceder o valor limite especificado pela norma).
O procedimento mais frequentemente adotado para a maioria das normas de CA é o seguinte:
A exceção inclui, por exemplo, a norma BS do Reino Unido, segundo o qual a influência da esbeltez é considerada também nas extremidades de uma coluna com nós indeslocável. No entanto, as normas ACI e CSA permitem um aumento adicional da influência da esbeltez para a seção transversal central para uma estrutura com nós deslocáveis.
Para três seções transversais assim compreendidas, são executados cálculos da armadura. A armadura é calculada no processo iterativo; um número de iterações é aumentado até que o programa adote a armadura, o que garante que a condição de capacidade seja satisfeita em todas as três seções transversais da coluna para cada uma das combinações.
Uma combinação de projeto é entendida como um par composto de um conjunto de combinações de carga e a posição da seção transversal para a qual a maior relação é alcançada.
Três conjuntos de forças (ou seja, uma força axial, momentos e, se necessário, forças laterais) para cada combinação na tabela de definição de carga correspondem às três seções transversais que passam pelo processo de projeto.
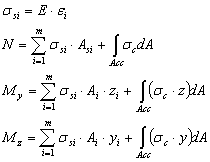
O cálculo da capacidade da coluna para a flexão biaxial continua de acordo com o seguinte procedimento:


em que: Acc é a área da peça de compressão (de acordo com o diagrama de distribuição s), E denota o módulo de Young.
O desenho ilustra o diagrama de tensão retangular. Para algumas normas, o diagrama é parabólico-retangular.
A exceção inclui o método especificado por norma disponível para a norma polonesa PN-B-03264 (2002).
Aumentar a armadura até que a capacidade necessária seja alcançada (o algoritmo de otimização) prossegue de acordo com o seguinte procedimento: