В проектировании объектов гражданского строительства для построения постепенных криволинейных переходов и виражей между прямыми участками и круговыми кривыми, а также между двумя круговыми кривыми различной кривизны, используются различные переходные кривые.
По отношению к другим прямым участкам и кривым каждая переходная кривая может быть входящей или исходящей.
При проектировании и разметке переходных кривых часто используются такие параметры как L (длина переходной кривой) и R. Параметр R обозначает радиус кривизны на одном конце переходной кривой. Чтобы различать радиусы в начале и конце переходной кривой, можно использовать значения R1 и R2.
На следующей иллюстрации показаны различные параметры переходной кривой:
| Параметр переходной кривой | Описание |
| R1 | Радиус кривой 1. |
| R2 | Радиус кривой 2. |
| ПП | Начальная точка переходной кривой. |
| SE | Конечная точка переходной кривой. |
| SP | Точка переходной кривой на расстоянии длины дуги l. |
| Θ | Центральный угол в точке переходной кривой на расстоянии длины дуги l. |
| l | Длина дуги от начальной точки переходной кривой вдоль кривой. |
| L | Общая длина дуги переходной кривой между начальной и конечной точками переходной кривой. |
Составные переходные кривые служат для создания перехода между двумя круговыми кривыми различного радиуса. Существует два типа переходной кривой: простая и составная. Составная переходная кривая включает кривую, состоящую в свою очередь из двух простых переходных кривых. В ней есть два пролета, каждый из которых представляет собой простую переходную кривую, непрерывно соединяющуюся по касательной со смежной переходной кривой. Они обеспечивают непрерывность функции кривизны и представляют собой метод создания плавного перехода в вираже.
В Autodesk Civil 3D поддерживается использование нескольких типов переходных кривых, однако наиболее часто используются переходные кривые типа «клотоида». Переходная кривая типа "клотоида" используется в проектировании автомобильных и железных дорог инженерами во всем мире.
Функция кривизны клотоиды, впервые исследованная швейцарским математиком Леонардом Эйлером, представляет собой линейную функцию, выбранную таким образом, что в месте соединения переходной кривой с прямолинейным участком кривизна как функция длины равна нулю. Далее кривизна возрастает линейно до тех пор, пока не достигнет кривизны прилегающей кривой в точке соединения переходной кривой и кривой.
В отличие от простой кривой здесь также обеспечивается непрерывность местной кривизны, значение которой повышается для транспортных средств при высоких скоростях.
Формула
Клотоидные переходные кривые могут быть выражены в следующих формулах:
Пологость переходной кривой:
Общий угол, стягиваемый переходной кривой:
Длина касательной, выходящей из точки соединения прямого участка и переходной кривой, измеренная в точке соединения переходной кривой и кривой.
Расстояние смещения касательной, выходящей из точки соединения прямого участка и переходной кривой, измеренная в точке соединения переходной кривой и кривой:

Вместо клотоиды на переходе можно использовать переходную кривую Блосса. Преимущество этой переходной кривой в сравнении с клотоидой заключается в том, что сдвиг P здесь меньше, поэтому переход получается более длинным, как и выступ переходной кривой (K). Этот фактор имеет важное значение при проектировании рельсовых путей.
Формула

Другие распространенные выражения
Длина касательной, выходящей из точки соединения прямого участка и переходной кривой, измеренная в точке соединения переходной кривой и кривой.

Расстояние смещения касательной, выходящей из точки соединения прямого участка и переходной кривой, измеренная в точке соединения переходной кривой и кривой:
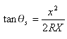
Эти кривые характеризуются согласованным дирекционным углом кривизны; они применяются для перехода между прямыми участками с отклонением 0 и 90 градусов. Однако синусоидальные кривые не имеют широкого применения, так как они более пологи, чем истинная спираль, из-за чего их труднее представлять в табличной форме и размечать.
Формула

Где r — радиус кривизны в любой заданной точке.
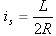
Уравнение такой формы часто используется в проектировании железных дорог в Японии. Применение этой кривой целесообразно в ситуациях, при которых требуется эффективно изменить кривизну при малых (с точки зрения динамических характеристик транспортного средства) углах отклонения.
Формула
Кривые типа "убывающая половина синусоиды с прямым участком" можно выразить как:
Где
и X — это расстояние от начальной точки до любой точки кривой, измеряемое вдоль (удлиненного) начального прямого участка; X — общее значение Х в конце кривой перехода.
Другие распространенные выражения
Длина касательной, выходящей из точки соединения прямого участка и переходной кривой, измеренная в точке соединения переходной кривой и кривой.

Расстояние смещения касательной, выходящей из точки соединения прямого участка и переходной кривой, измеренная в точке соединения переходной кривой и кривой:

Кубические параболы сходятся не так быстро, как кубические переходные кривые, что делает их весьма востребованными при проектировании железных дорог и автострад.
Формула
Минимальный радиус кубической параболы
Где Θ = центральный угол в точке переходной кривой на расстоянии длины дуги
.
См. приведенную выше схему для справки.
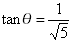
Кубическая парабола достигает минимального значения r при:
Поэтому
Радиус кубической параболы убывает от бесконечности до значения
при 24 градусах, 5 минутах 41 секунде, а затем начинает возрастать снова. Это делает кубические параболы бесполезными при отклонениях, превышающих 24 градуса.
Этот переход был разработан в соответствии с требованиями, действующими в Японии. Для ситуаций, в которых требуется применить малый угол отклонения или большой радиус, разработано несколько аппроксимаций клотоиды. Одной из таких аппроксимаций, используемой при проектировании в Японии, является кубическая кривая (JP).
Формула
Кубические кривые могут быть выражены как:
Где Х = длина касательной, выходящей из точки соединения прямого участка и переходной кривой, измеренная в точке соединения переходной кривой и кривой.
Эту формулу можно также выразить следующим образом:

Где
обозначает центральный угол переходной кривой (показанный как i1 и i2 на изображении).
Другие распространенные выражения
Длина касательной, выходящей из точки соединения прямого участка и переходной кривой, измеренная в точке соединения переходной кривой и кривой.

Расстояние смещения касательной, выходящей из точки соединения прямого участка и переходной кривой, измеренная в точке соединения переходной кривой и кривой:
Это тип кубической параболы, измененной в соответствии с требованиями штата Новый Южный Уэльс.
Формула
Кубическую параболу NSW можно выразить в следующем виде:
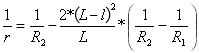
Для би-квадратичных переходных кривых (Шрамма) характерны низкие значения вертикального ускорения. Они состоят из двух парабол второй степени, радиусы которых изменяются как функция длины кривой (l).
Формула простой кривой
Кривизна первой параболы:
при
Кривизна второй параболы:
при
Данная кривая определяется пользовательской длиной (L) переходной кривой.
Формулы составной кривой
Кривизна первой параболы:
при
Кривизна второй параболы:
при