Теоретические аспекты проверки моделирования
Одним из этапов процесса проектирования является проверка. Чтобы проверить проект, рекомендуется провести анализ по приведенным ниже теоретическим аспектам.
Они представлены в виде уравнений и допущений, используемых для оценки правильности результатов моделирования.
Система масс и пружины: смещение
Простой случай оценки системы масс и пружины.

Закон Ньютона:
(1)
Где:
| | Численное значение: |
|---|
: положение с учетом времени t | |
: скорость | |
: ускорение | |
= масса тела в кг | 10 |
= дэмпфирование пружины в Н.c/м | 20 |
= жесткость пружины в Н/м | 15000 |
= длина ненагруженной пружины в м | 0,3 |
= сила тяжести в м/c2 | 9,81 |
исходное положение в м | 0,33 |
= начальная скорость в м/с | 0,0 |
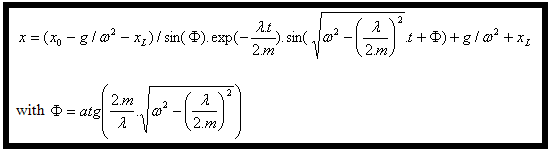
(1) |
На |
| | (2)
|
Решение данного дифференциального уравнения: |
| | (3)
|
Частное решение для стабильного состояния системы, когда и x = B. |
Тогда (2)  |  |
| | 
|
| | (4)
|
С учетом исходных условий значения A и : |
для t = 0,0, (3)  |  |
| | (5)
|
| | и |
| | (6)
|
Наконец, учитывая (4) и (6), используемые в (3), получаем следующее уравнение смещения: |
| 
|
Затем данное уравнение было обработано с помощью Excel, а результаты сравнили с результатами, полученными при динамическом моделировании. Результаты оказались идентичными. |
| |
Кривошип и шатун: положение и скорость
Цель данной проверки состоит в оценке положения и скорости в кривошипно-шатунном механизме, когда результат динамического моделирования и теоретические уравнения описывают один случай.
Известные значения: «Ход» или расстояние от центра вращения коленчатого вала до шейки вала и длина шатуна между шейкой под подшипник и соединением поршневого пальца.
Диаграмма

Определение | R = длина (OP) = ход коленчатого вала L = длина (PQ) = длина шатуна |
| | |
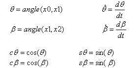
Скорость точки Q в абсолютной системе координат R0 = (x0, y0) |
| | // положение Q в R0 |
| | //скорость Q в R0 |
| где: 
|
| и: 
|
| |
где: |
и  |
тогда:  |
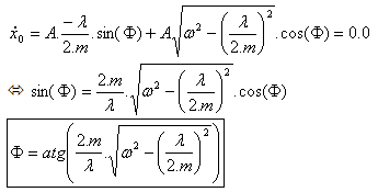
Точка Q остается на оси y0, и ее координата по оси x0 равна 0,0: |
| |
| |
| Наконец, используя (1): | |
| | |
Получаем уравнение (1), где не является линейной величиной, зависящей от времени; тогда не является постоянной, а не является простейшей периодической функцией. |
(1)  |
и |
С помощью программы Excel, используя численные значения (L = 0,125 м, R = 0,06 м и рад/с), положение и скорость точки Q рассчитываем следующим образом: |
Положение: | |
| |
Скорость: | |
| |
Результат: кривые, полученные при динамическом моделировании, идентичны кривым, рассчитанным с помощью теоретических уравнений.