Расчеты штифтовых соединений с отверстием под шплинт для британских единиц измерения

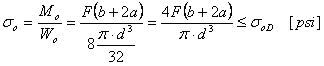
Напряжение изгиба

Давление в стержне

Давление в вилке

Напряжение сдвига
Напряжение сдвига

Где:
| | F | сила [фунт] |
| | σ0 | напряжение при изгибе [фунт/кв.дюйм] |
| | σ0D | допустимое напряжение при изгибе [фунт/кв. дюйм] |
| | M0 | изгибающий момент [фунт фут] |
| | W0 | момент сопротивления изгибу [д3] |
| | τ | напряжение сдвига [фунт/кв. дюйм] |
| | τD | допустимое напряжение сдвига [фунт/кв. дюйм] |
| | d | диаметр штифта [д] |
| | p1 | давление в стержне [фунт/кв.дюйм] |
| | p2 | давление в вилке [фунт/кв. дюйм] |
| | p1D | допустимое давление в стержне [фунт/кв. дюйм] |
| | p2D | допустимое давление в вилке [фунт/кв. дюйм] |
| | b | ширина стержня [д] |
| | a | ширина плеча вилки [д] |