Расчет длины зубчатых ремней

Длина шага ремня задается по количеству зубьев ремня и окружному шагу. Траектория ремня основывается на индивидуальном положении шкива. Диаметр делительной окружности каждого шкива определяется по следующим формулам. Положение скользящего шкива настраивается для соблюдения критерия длины ремня. В расчете используется итерация для нахождения соответствующего положения скользящего шкива, ближайшего к необходимому положению скользящего шкива.

Определение точного диаметра делительной окружности

 

Синхронный шкив с направлением по часовой стрелке или двусторонний ремень

 

 

Гладкий шкив с направлением по часовой стрелке или двусторонний ремень

Dp = D + 2(a + ht)

 

Синхронный шкив с направлением против часовой стрелки и односторонний ремень

Dp = D0 + 2(H – a – ht)

 

Гладкий шкив с направлением против часовой стрелки и односторонний ремень

Dp = D + 2(H – a – ht)

Пример механической передачи с двумя шкивами

Дуга контакта

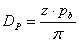
Длина шага ремня

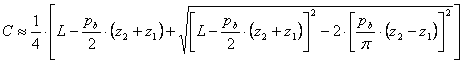
Межосевое расстояние

Следующую формулу рекомендуется использовать при определении межосевого расстояния нового привода

0,2 pb (z1 + z2 ) ≤ C ≤ 0,7 pb (z1 = z2)

Значение используемых переменных:

z

Количество зубьев заданного шкива/количество зубьев ремня [-]

pb

Окружной шаг [m]

D

Номинальный диаметр гладкого шкива [m]

a

Смещение делительной прямой [m]

ht

Высота зуба ремня [m]

D0

Наружный диаметр синхронного шкива [m]

H

Высота ремня [m]

°C.

Межосевое расстояние заданного шкива и ведущего шкива [m]

  β

Дуга контакта [град]