Расчет пропорций прочности зубчатых ремней
| 
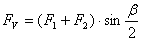
| Для каждого шкива |
F2 – F1 + Fp = 0 |
| 
|
| 
|
| 
|
Для ведущего шкива

| 
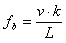
| v ≤ vmax |
| 
| fb ≤ fmax |

Fc = mv2
FTmax = k1 Fp + Fc
F1 = Ftmax
F2 = F1 – Fp
Для отдельных ведущих и натяжных шкивов
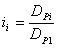
i-индекс шкива
FPi = Pxi Fp



F1i = F2i–1
F2i = F1i + Fp i
Где:
для синхронного шкива
для гладкого шкива
Для всей ременной передачи

Необходимое натяжение ремня определяется на основе усилий на ведущем шкиве следующим образом:

Пример механической передачи с натяжным шкивом

Шкив ведущий | Шкив гладкий натяжной | Шкив ведомый |
Px1 = 1 | Px2 = 0 | Px3 = 1 |
| 
| 
| FP3 = Px3 Fp |
| 
| 
| 
|
| 
| 
| 
|
| 
| F12 = F21 | 
|
| 
| F22 = F12 + Fp2 = F12 | 
|
Fc = m v2 | 
| 
|
FTmax = k1 Fp + FC | — | F13 = F22 |
F11 = FTmax | — | F23 = F13 + Fp3 = F11 |
F21 = F11 – Fp | — | 
|
| 
| — | — |
Значение используемых переменных:
Fp | Эффективная выемка [N] |
F1 | Натяжение ремня на стороне входа заданного шкива [N] |
F2 | Натяжение ремня на стороне выхода заданного шкива [N] |
z | Количество зубьев заданного шкива/количество зубьев ремня [-] |
| β | Дуга контакта/угол наклона зуба [град] |
P | передаваемая мощность [Вт] |
PR | Номинальная мощность ремня для заданной компоновки передачи [Вт] |
cL | Эксплуатационный коэффициент [–] |
| β | Дуга контакта [град] |
T | Крутящий момент, действующий на заданный шкив [Нм] |
n | Скорость заданного шкива [об./мин.] |
Dp | Диаметр шага шкива [m] |
v | Скорость ремня [м/с] |
k | Количество шкивов в ременной передаче [-] |
L | Длина шага ремня [m] |
P | передаваемая мощность [Вт] |
m | Определенный вес ремня для заданной ширины [кг/м] |
k1 | Коэффициент натяжения ремня [-] |
Fp | Эффективная выемка [N] |
Fc | Центробежная сила [Н] |
Ft | Минимальное натяжение при установке ремня [N] |
Pxi | Передаточное число заданного шкива [-] |
Dpi | Диаметр шага шкива [m] |
i | Передаточное отношение (коэффициент скорости) заданного шкива [-] |
Ti | Крутящий момент, действующий на заданный шкив [Нм] |
| η | КПД [–] |
pb | Окружной шаг [m] |
D | Номинальный диаметр гладкого шкива [m] |
H | Высота ремня [m] |
hT | Высота зуба ремня [m] |
a | Смещение делительной прямой [m] |
Примечание. i = индекс шкива
Основы расчета