Эти формулы используются для расчета параметров вала (с одним или несколькими сечениями) или балки (с одним постоянным сечением) с различными опорами и нагрузками.
Ось вала (балки) располагается вдоль оси Z. Если при расчете учитывается плотность материала, вектор силы тяжести должен быть направлен по оси Y.
Усилия среза:
![]()
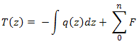
Изгибающие моменты:
![]()
Угол отклонения:
![]()
Где:
E | модуль упругости при натяжении | |
J | момент инерции | |
G | модуль жесткости | |
| β | коэффициент смещения при сдвиге |
Отклонение:
![]()
Напряжение при изгибе:
![]()
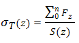
Напряжение сдвига:
![]()
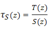
Напряжение закручивания:
![]()
Напряжение при растяжении:
![]()
Приведенное напряжение:
![]()
Где:
| σB | напряжение изгиба | |
| σT | напряжение при растяжении | |
| τ | напряжение закручивания | |
| τS | напряжение сдвига | |
| α | α = 3 для критерия Губера — Мизеса — Генки | |
| α = 4 для критерия Треска — Геста |
Образец расчета
![]()
Модуль упругости E = 210 000 МПа
Модуль жесткости G = 81 000 МПа
Коэффициент смещения при сдвиге β = 1,118
Режим приведенного напряжения: Губер — Мизес — Генки
Без учета плотности материала.
Усилия опоры:
![]()
![]()
Максимальное напряжение при сдвиге:
![]()
Максимальное напряжение при кручении:
![]()
Максимальный момент:
![]()
Максимальное напряжение при изгибе:
![]()
Максимальное приведенное напряжение:
![]()
Угол закручивания:
![]()
![]()